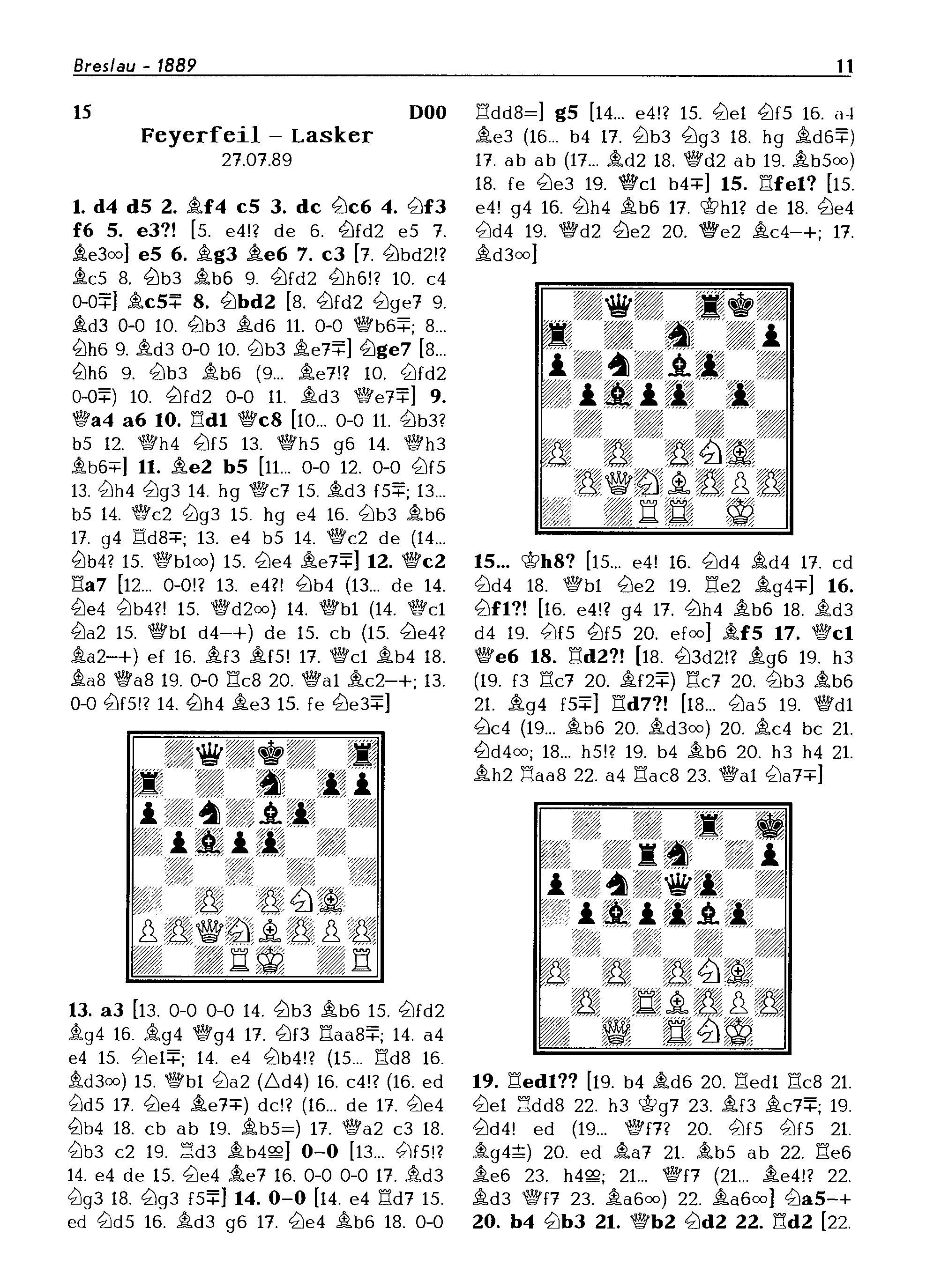
"Emanuel Lasker Volume 1: 1889-1903" - читать интересную книгу автора (Sergei Soloviov, editor Alexander Khalifman) |
|
© 2025 Библиотека RealLib.org
(support [a t] reallib.org) |