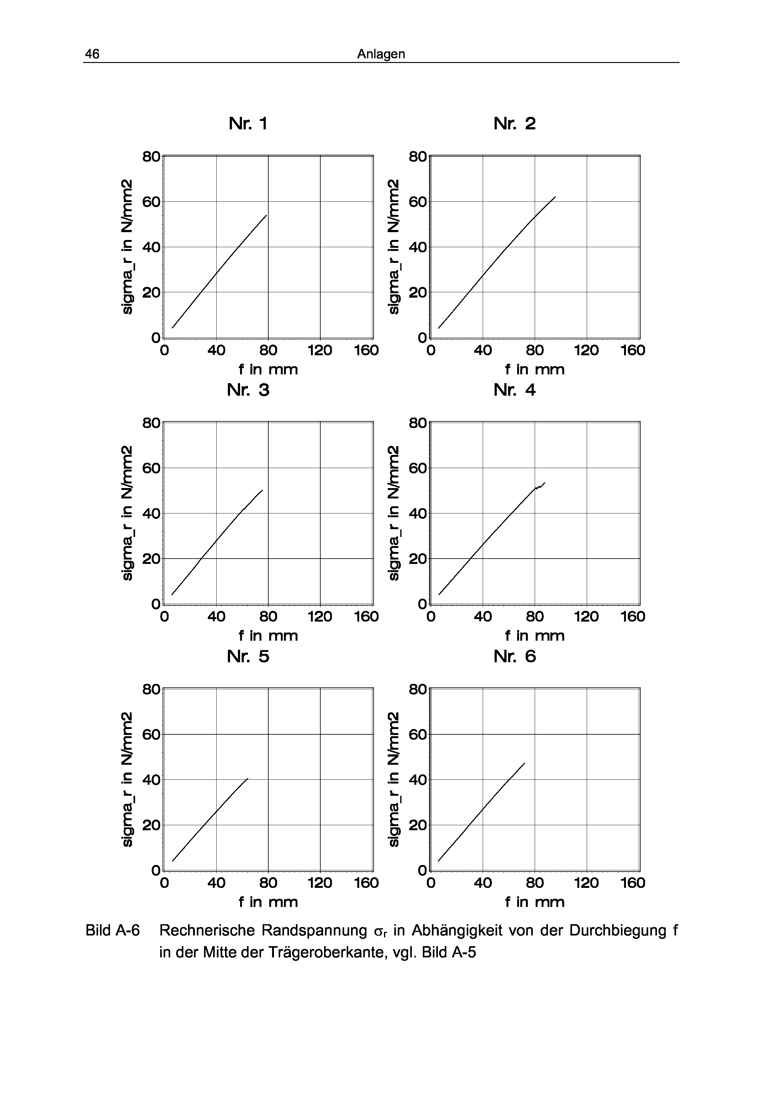
"Biegefestigkeit von Brettschichtholz-Hybridtragern mit Randlamellen aus Buchenholz und Kernlamellen aus Nadelholz German" - читать интересную книгу автора (Hans J. Bla?, Matthias Frese)