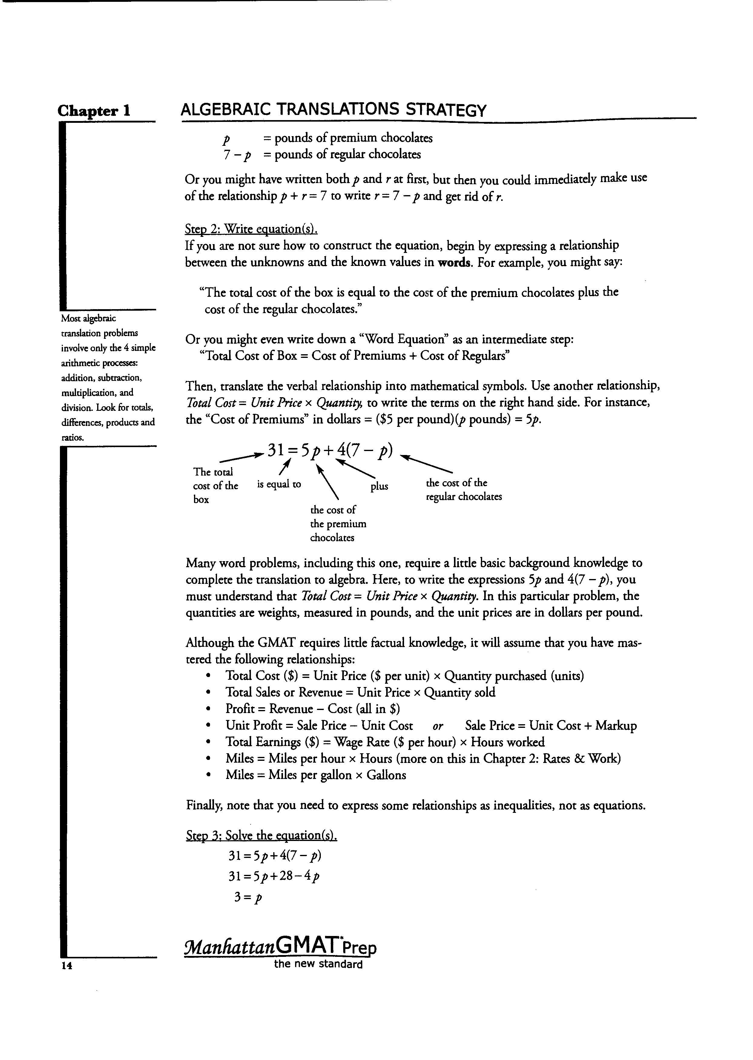
"Word Translations, 4th Edition (GMAT Strategy Guide, No. 4)" - читать интересную книгу автора (Manhattan GMAT Prep) |
|
© 2025 Библиотека RealLib.org
(support [a t] reallib.org) |