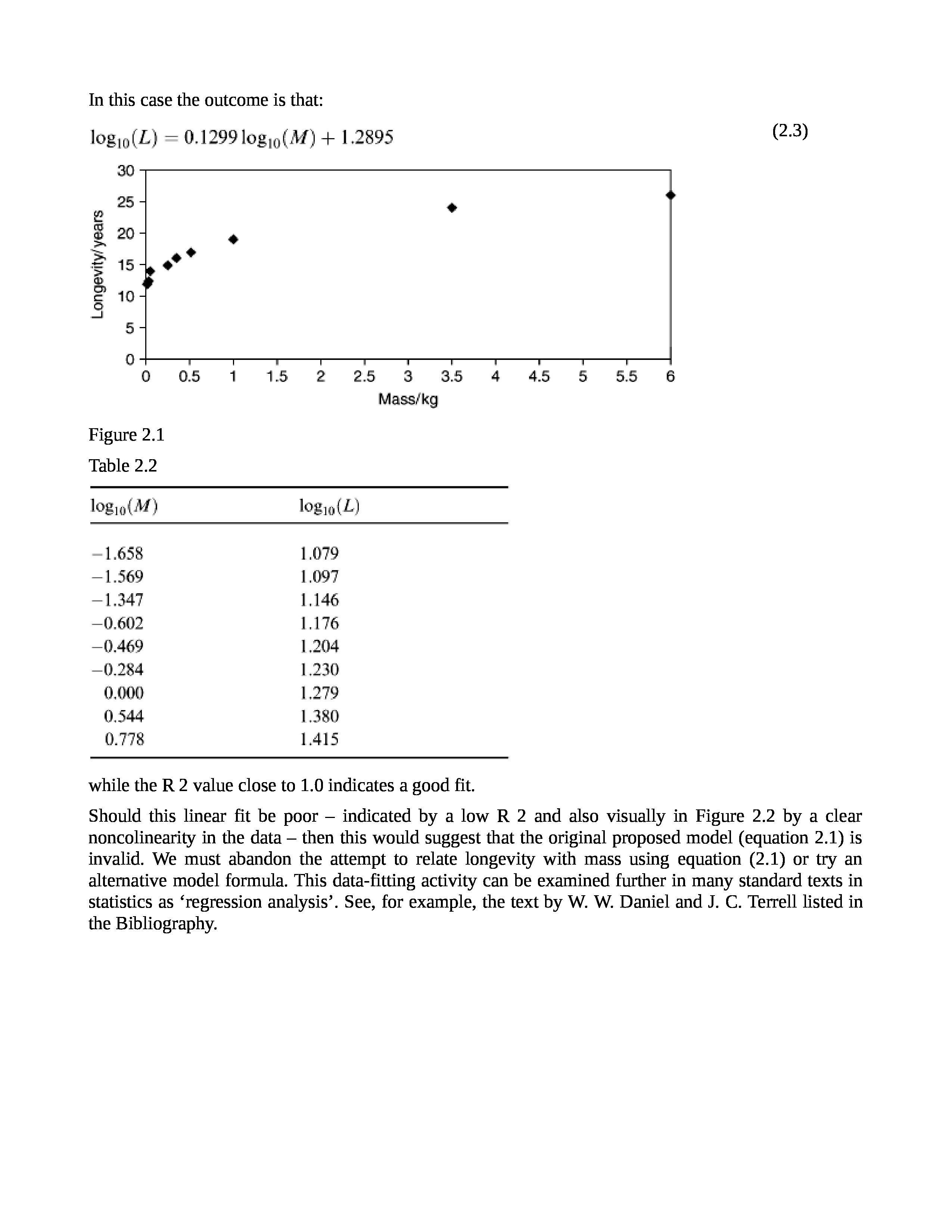
"Guide to Mathematical Modelling (Mathematical Guides)" - читать интересную книгу автора (Dilwyn Edwards, Mike Hamson) |
|
© 2025 Библиотека RealLib.org
(support [a t] reallib.org) |