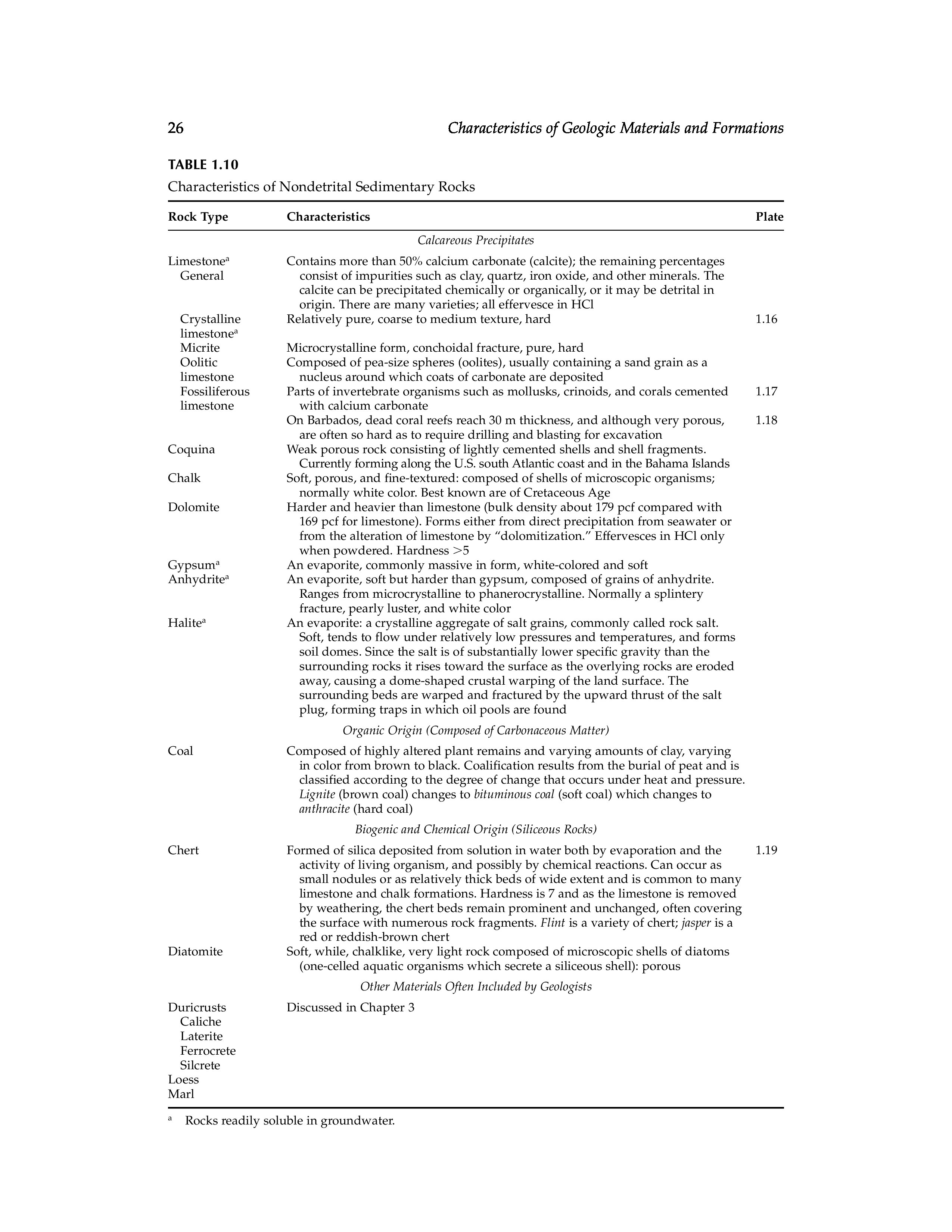
"Characteristics of Geologic Materials and Formations: A Field Guide for Geotechnical Engineers" - читать интересную книгу автора (Roy E. Hunt)