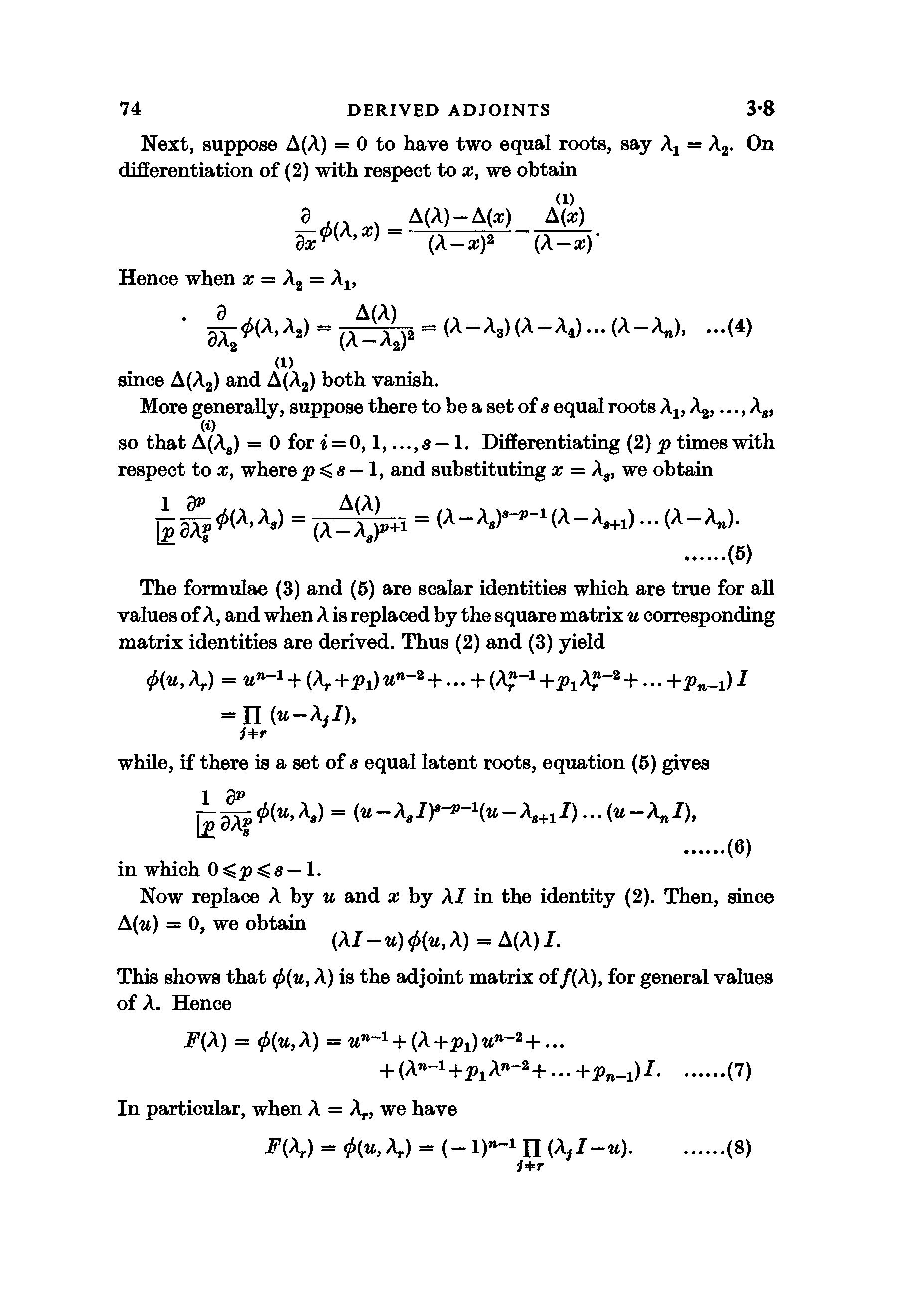
"Elementary Matrices And Some Applications To Dynamics And Differential Equations" - читать интересную книгу автора (R. A. Frazer, W. J. Duncan, A. R. Collar)