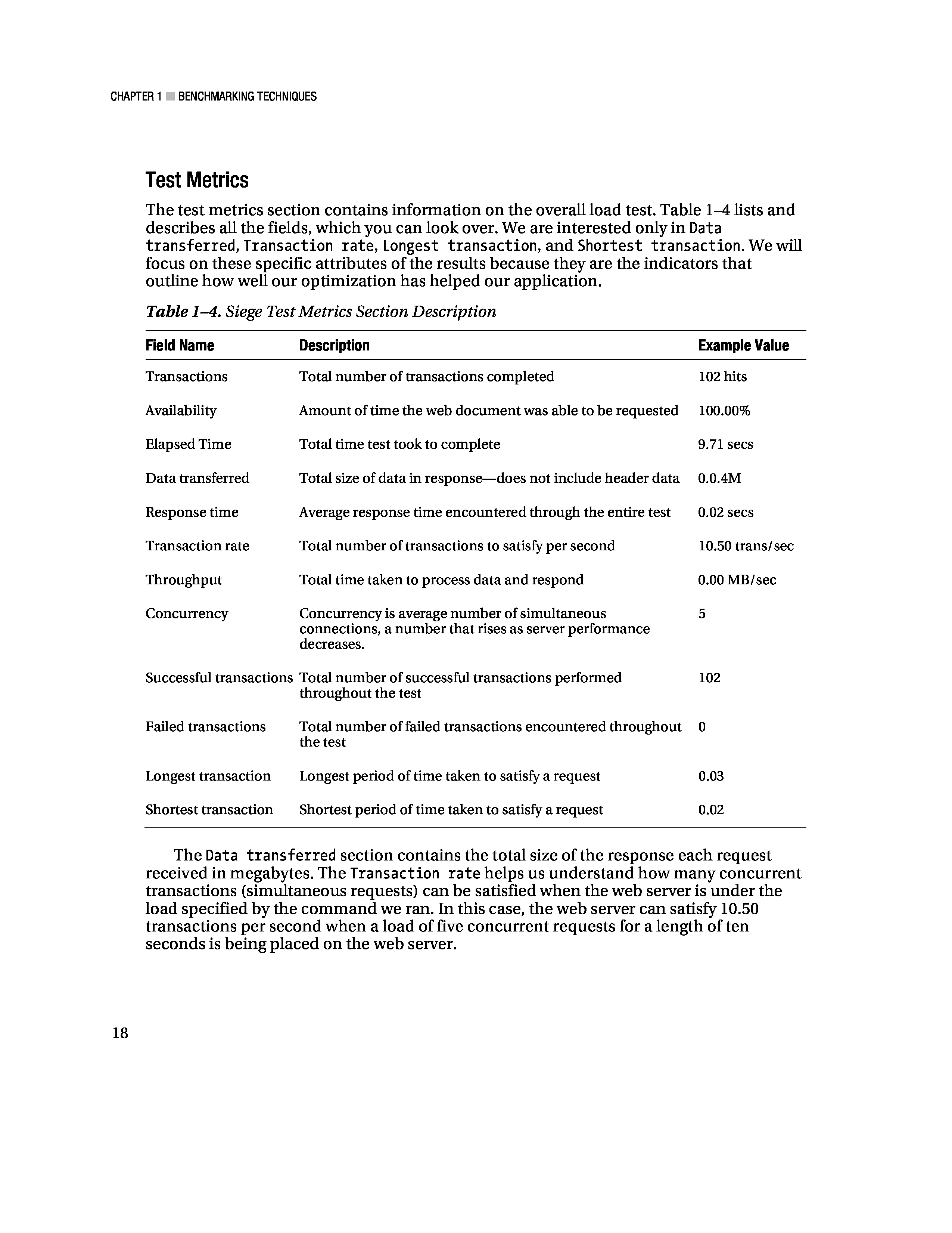
"Pro PHP Application Performance: Tuning PHP Web Projects for Maximum Performance" - читать интересную книгу автора (Armando Padilla, Tim Hawkins) |
|
© 2026 Библиотека RealLib.org
(support [a t] reallib.org) |