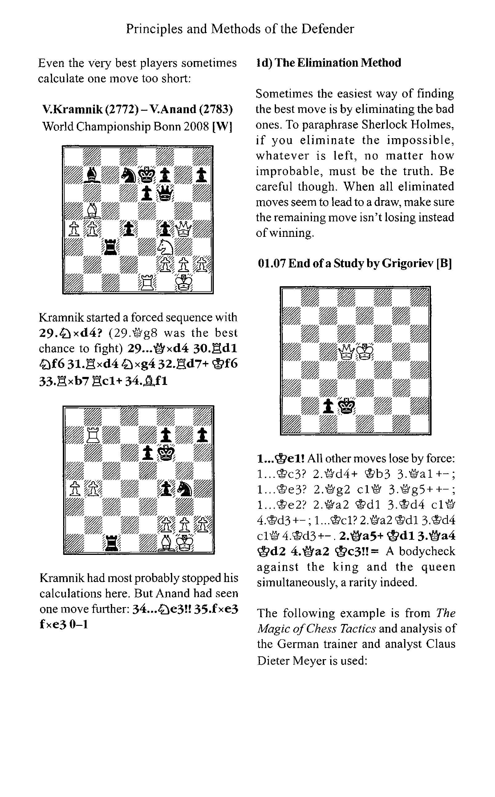
"Chesscafe Puzzle Book 3: Test and Improve Your Defensive Skill " - читать интересную книгу автора (Karsten Mueller, Merijn Van Delft) |
|
© 2025 Библиотека RealLib.org
(support [a t] reallib.org) |