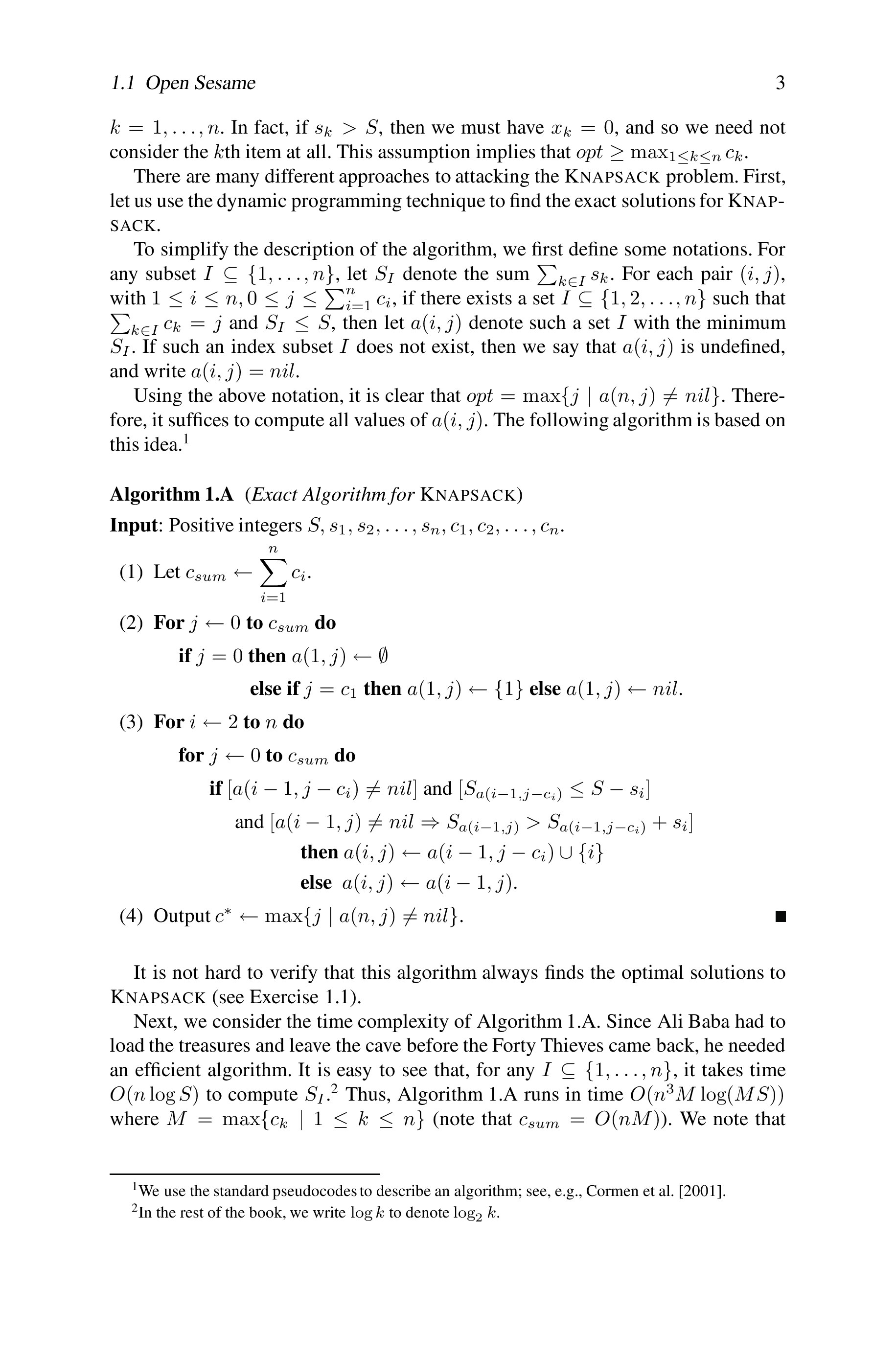
"Design and Analysis of Approximation Algorithms" - читать интересную книгу автора (Ding-Zhu Du, Ker-I Ko, Xiaodong Hu) |
|
© 2025 Библиотека RealLib.org
(support [a t] reallib.org) |