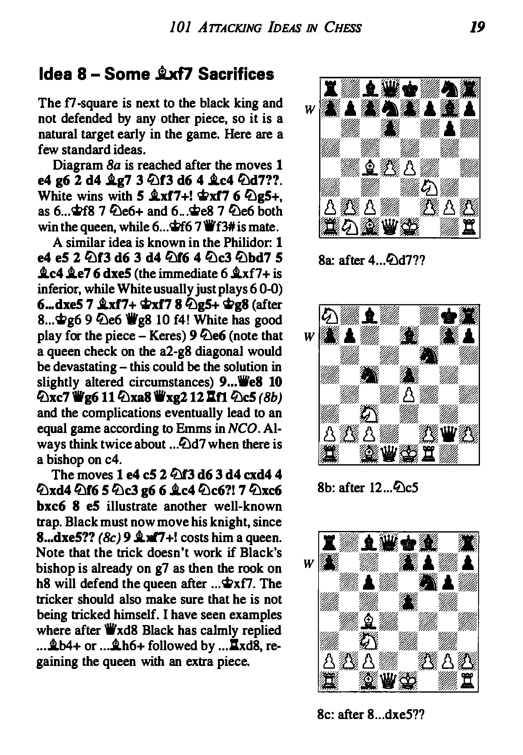
"101 Attacking Ideas in Chess" - читать интересную книгу автора (Joe Gallagher)