"Student Solutions Manual to accompany Boyce Elementary Differential Equations and Boundary Value Problems" - читать интересную книгу автора (Charles W. Haines, William E. Boyce, Richard C. DiPrima) |
|
© 2025 Библиотека RealLib.org
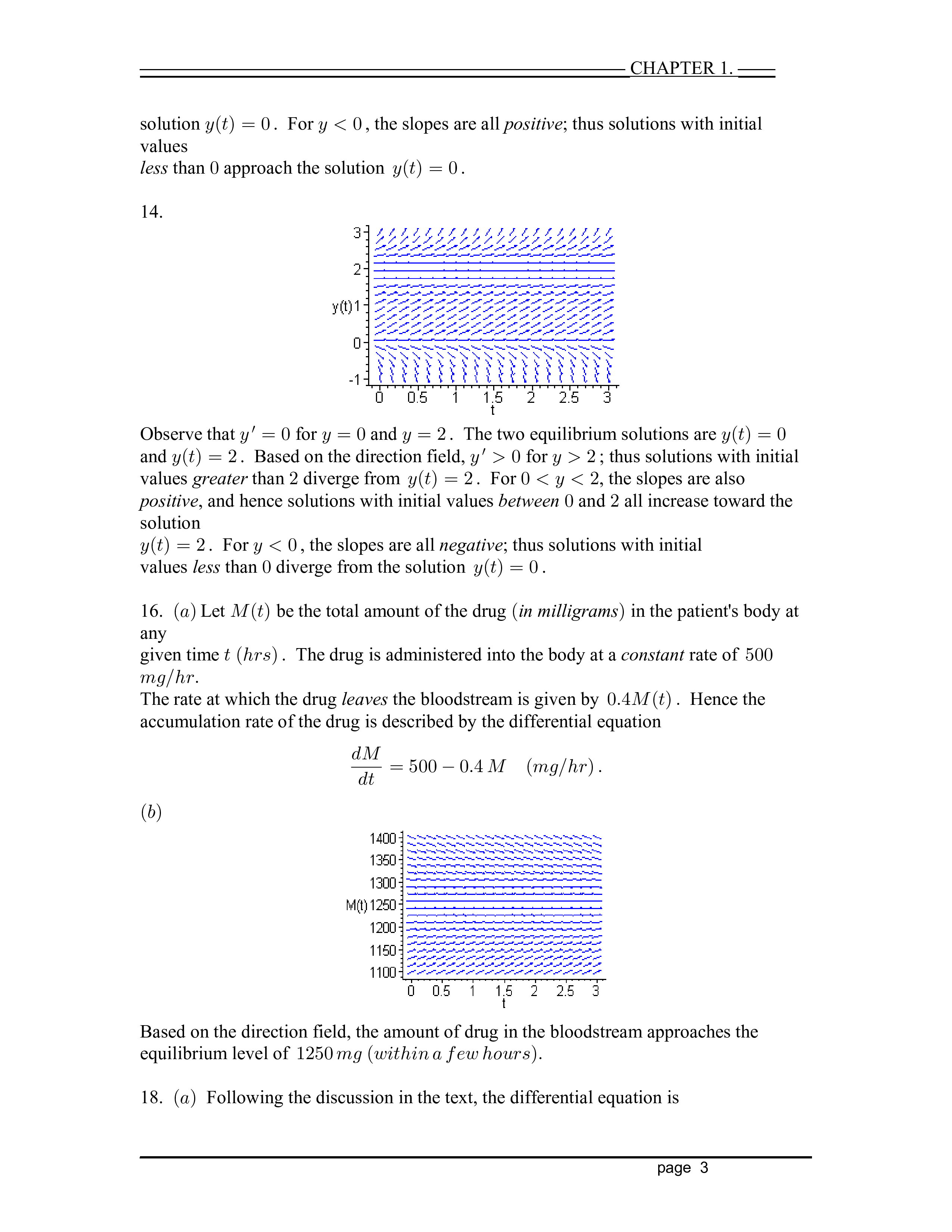
(support [a t] reallib.org) |