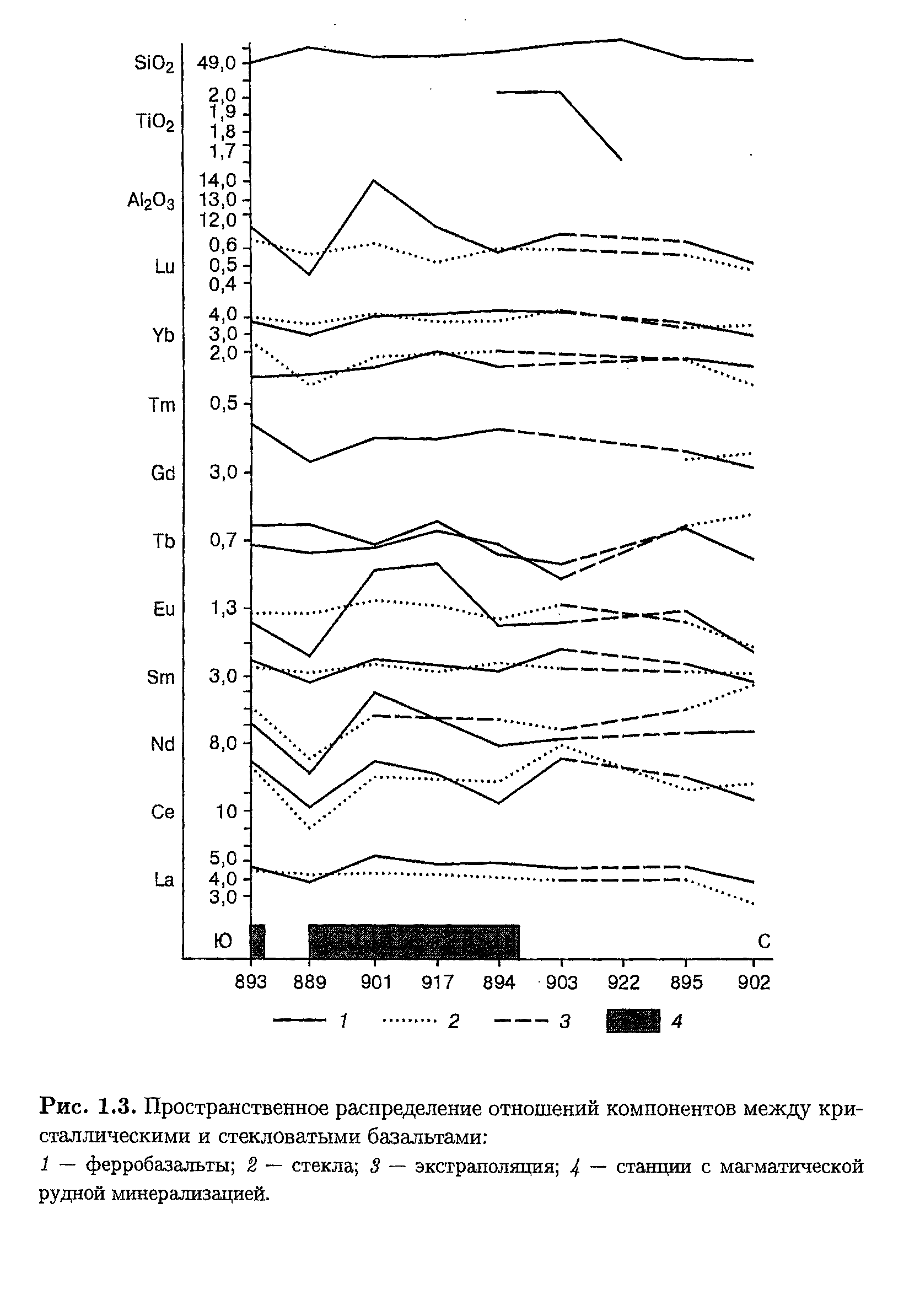
"Динамика развития рудно-магматических систем зон спрединга. Труды ОИГГМ. Вып. 841" - читать интересную книгу автора