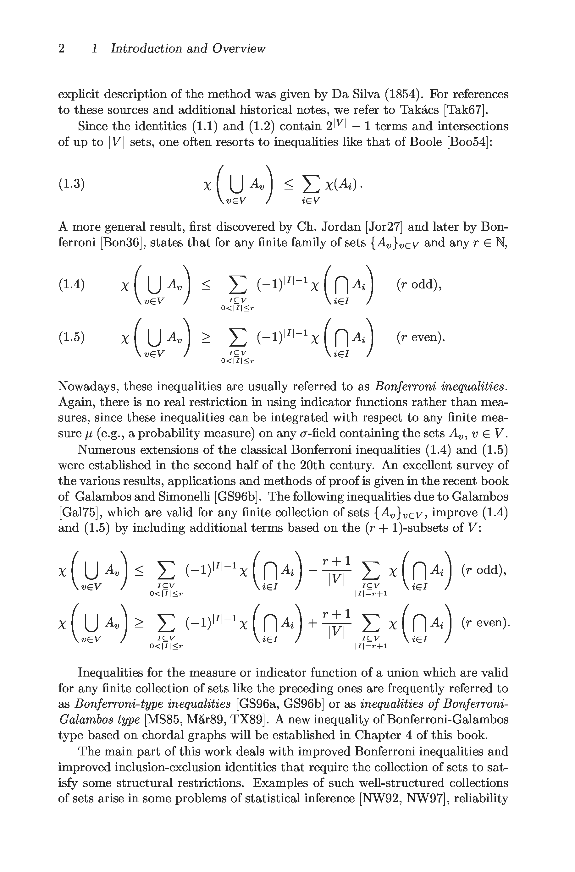
"Improved Bonferroni Inequalities via Abstract Tubes: Inequalities and Identities of Inclusion-Exclusion Type " - читать интересную книгу автора (Klaus Dohmen) |
|
© 2025 Библиотека RealLib.org
(support [a t] reallib.org) |