"Новые рассказы Рассеянного Магистра" - читать интересную книгу автора (Левшин Владимир Артурович)

ПЯТОЕ ЗАСЕДАНИЕ КРМ,

состоявшееся у Олега, проходило под музыкальный аккомпанемент. Таня принесла гитару, Сева — барабан, скрипка нашлась у хозяина дома. Нулик скромно ограничился гребёнкой, обтянутой папиросной бумагой, хотя идея создания квартета принадлежала ему,

— Магистру и Единичке пришлось стать музыкантами поневоле, а мы займёмся музыкой добровольно, — заявил он. — Я уж нашему ансамблю и название придумал СУДАК имени Рассеянного Магистра. Что, звучит?

— Смотря какой судак, — деловито сказал Сева. — Если жареный.

— Да нет! — поморщился президент. — Не рыба, а Струнно-Ударно-Духовой Ансамбль Клуба.

Должность дирижёра доверили мне, хотя по всему видно было, что метит на неё сам учредитель. Однако играть на гребёнке и одновременно дирижировать — задача безнадёжная. Потому президент только вздохнул и сказал:

— Заседание считаю открытым. И прошу запомнить, что сегодня я от математики отдыхаю. Где музыка, там математике делать нечего.

— Э, нет! — возразил я. — Без математики и в музыке не обойтись.

— Ну да! — недоверчиво усмехнулся Нулик. — Какая ж тут математика? До-ре-ми-фа-соль-ля-си…

Он тут же воспроизвёл эту гамму на своём инструменте, но гребёнка оказалась такой скрипучей, что все дружно заткнули уши.

— И всё-таки, — сказал я, когда какофония стихла, — музыкальная гамма родилась именно с помощью математики, и изобрёл её, ни много ни мало, сам Пифагор.

— Да, да, — небрежно проронил президент, — что-то в этом роде я уже слышал, но, убей меня бог, если что-нибудь запомнил. Как это теперь говорят? Я не в силах переварить такой большой поток информации.

— Что делать, — сказал я, — придётся тебе поднатужиться.

— Понятно! — кивнул Нулик. — Сейчас вы станете объяснять, какое среднее музыкальное пришлось уплатить Магистру за вилион… виолончель.

— Угадал! Только число это называется не средним музыкальным, а средним гармоническим.

Нулик скорчил недовольную гримаску.

— Ну, мне от этого не легче. Лучше скажите: почему среднее гармоническое восьми и восемнадцати равно 11 леопардам и 1 ягуару?

— «Почему, почему»! — проворчала Таня. — Потому что в одном леопарде 13 ягуаров.

— Это я и сам знаю. А всё-таки, почему одиннадцать целых и одна тринадцатая есть среднее гармоническое восьми и восемнадцати?

Таня засмеялась:

— Хитрюга! Спросил бы уж прямо, что такое среднее гармоническое.

— Ему престиж не позволяет! — подтрунил Сева.

— Ладно, — миролюбиво сказал я, — выясним, что такое среднее гармоническое. Но для этого вспомним сперва, что такое среднее арифметическое и среднее геометрическое.

— Это я знаю, — оживился президент. — Среднее арифметическое двух чисел — это половина их суммы.

— А среднее геометрическое?

— А среднее геометрическое двух чисел есть корень квадратный из их произведения.

— Отлично! — сказал я. — Хорошо бы это записать.

— Запишем так, — отвечал Нулик:

Что, верно?

— Верно.

— Но какое отношение всё это имеет к среднему гармоническому?

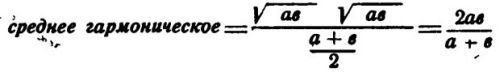
— Самое прямое, — сказал я. — Потому что среднее гармоническое так относится к среднему геометрическому, как среднее геометрическое к среднему арифметическому.

— Давайте запишем и это, — предложил президент.

— Запишем, — согласился я и написал на бумажке:

А если подставить сюда уже известные нам буквенные выражения, пропорция эта будет выглядеть так:

Отсюда

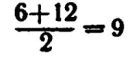
— Ага! — обрадовался Нулик. — Теперь подставим сюда цены скрипки и контрабаса. Допустим, цена скрипки — а. Подставляем, стало быть, 8. Цена контрабаса — b. Подставляем 18. Тогда

Теперь всё это взбалтываем, смешиваем и получаем 144/13, или 11 1/3.

— Ну вот, — облегчённо вздохнул Сева. — Их президентское высочество ублаготворены: леопарды и ягуары сошлись.

— По-моему, — вставил Олег, — надо ещё обратить внимание на то, что из всех трёх средних самое большое — среднее арифметическое, а самое маленькое — среднее гармоническое.

Нулик поднял светлые бровки^

— Всегда?

— Нет, не всегда, а только в том случае, если числа a и b не равны между собой.

— А если равны?

— Ну, тогда все три средних тоже равны между собой.

— Всё это хорошо, — важно сказал президент, — но не кажется вам, что разговор у нас какой-то чудной? Сперва говорили про музыку, потом про Пифагора, а потом забыли и про то, и про другое.

— Ничего мы не забыли, — возразил я. — Теперь мы выяснили наконец, что такое среднее гармоническое, и потому можем вернуться к вопросу о связи математики с музыкой. Стало быть, и к Пифагору, который много занимался гармонией. А гармония для Пифагора была понятием широким. Он искал её и в геометрии, и в арифметике, и в движении небесных тел, и в музыке. И находил во всех этих областях науки общие законы гармонии. Пифагор создал целое учение о гармонии и главную роль в этом учении отводил числам. Особое значение придавал он первым четырём числам натурального ряда — 1, 2, 3 и 4. По его мнению, эти числа лежат в основе всякой гармонии.

— Вот уж не нахожу, — перебил Нулик. — Четыре — ещё куда ни шло, но тройка, тем более — двойка. Ничего в них хорошего нет! Так, по крайней мере, говорит моя мама, когда я показываю ей свой школьный дневник.

— Ну, мама, очевидно, подразумевает совсем другое, — улыбнулся я, — а Пифагор считал эти числа фундаментом мировой гармонии. Он пристально изучал их отношения, или, лучше сказать, соотношения, и очень неожиданно применил их в музыке.

— Что ж такое он сделал? — спросил президент, весьма заинтригованный.

— Да на первый взгляд ничего особенного: взял обыкновенную струну и натянул её на доску.

— Это и я могу! — отозвался президент. — Струну можно снять со скрипки, а доску добыть — дело нехитрое.

— Нет, скрипку разорять ни к чему, — быстро сказал Сева, к великому разочарованию президента, обожавшего всё разбирать и развинчивать. — Скрипка — это ведь, собственно, и есть дощечка с натянутыми на неё струнами.

— Отлично! — согласился я. — Возьмём скрипку и познакомимся с изобретением Пифагора на личном опыте. Вот струна. Ущипни-ка её, Нулик.

Президент выполнил мою просьбу с удовольствием.

— А теперь прижми струну к грифу точно посередине и ущипни её ещё разок. Слышишь? Этот звук получился гораздо тоньше первого, или, как говорят музыканты, выше.

— Слышу! — подтвердил президент, не переставая терзать бедную струну.

— Так вот, разность этих высот, или, как говорят, интервал между ними, принято называть октавой. И получилась октава оттого, что струну разделили в отношении 2:1. Теперь разделим струну на три части и прижмём на расстоянии двух третей. Ну-ка, что там у нас получилось?

— Получился звук хоть и повыше, чем тогда, когда дёргали целую струну, зато чуть пониже, чем когда разделили струну на две части.

— Правильно. Звук при этом получается выше не на октаву, а на так называемую квинту. И происходит это тогда, когда струну делят в отношении 3:2. А теперь разделим струну в отношении 4:3. Попросту прижмём её на расстоянии трёх четвертей. Что получилось? Получился звук ещё чуть ниже, чем тогда, когда мы ущипнули две трети струны. Этот интервал между высотой звучания всей струны и высотой звучания трёх её четвертей называется квартой.

— Ишь ты, сколько интересного мы сегодня узнали, — сказал Нулик, загибая пальцы, — октава, квинта, кварта.

— Попробуем узнать и ещё кое-что. Вычислим, во сколько раз октава больше кварты.

— Вычислим, — повторил Нулик. — Вычтем из двух…

— Нет, — остановил я его, — тут надо сделать другое. Надо найти, во сколько раз отношение 2:1 больше отношения 4:3.

— Ну это просто. Надо разделить — 2/1 на 4/3

А это всё равно, что 3/2.

— А что такое три вторых?

Нулик растерянно молчал.

— Подумай Ведь мы об этом только что говорили!

— Ой! — просиял президент. — Как же я забыл! Ведь это квинта! Квинта, которая получается, когда струну делят в отношении 3:2.

— Верно, — сказал я. — Но что из этого следует?

— Из этого следует, — догадался Олег, — что октава состоит из квинты и кварты.

Нулик завистливо вздохнул.

— Удивительный человек Пифагор! Какие названия выдумал — квинта, кварта…

— Ну, положим, названия эти появились гораздо позже.

— Когда?

— Много будешь знать — скоро состаришься. Раз ты такой любопытный, попытайся лучше выяснить, во сколько раз квинта больше кварты.

Президент засучил рукава.

— С удовольствием! — И написал на клочке бумаги

— Верно?

— Верно. Заодно не мешает сказать, что интервал, равный девяти восьмым, условились считать за один музыкальный тон.

На сей раз Нулика моё сообщение совершенно не обрадовало.

— Квинты, кварты! — проворчал он, пожимая плечами. — А где же всё-таки среднее гармоническое?

— К нему-то мы и подошли. Дело в том, что, кроме чисел 1, 2, 3 и 4, Пифагору приглянулась ещё одна четвёрка чисел: 6, 8, 9 и 12. Они полюбились ему уже хотя бы потому, что отношение 12:6 равно отношению 2:1 и даёт октаву; отношение 12:8 равно отношению 3:2 и даёт квинту, а отношение 12:9 равно отношению 4:3 и даёт кварту. Пифагор обратил внимание также на средние числа этой великолепной четвёрки — 8 и 9. Здесь интересно вспомнить, что отношение 9:8 соответствует одному тону.

— Но что замечательного нашёл Пифагор в этих числах? — спросил Сева.

— Во-первых, девять — это среднее арифметическое шести и двенадцати, то есть крайних чисел этой четвёрки:

— А восемь?

— А восемь, — неожиданно сказал Олег, — восемь — это их среднее гармоническое. Вот смотрите:

— Наконец-то! — закричал президент и на радостях снова задудел на своей гребёнке, после чего стало совершенно ясно, что с музыкой на сегодня необходимо покончить.

Объявили перерыв. Все потянулись к бутербродам, разложенным на большом блюде. Но вот когда они были съедены и мы уже готовились приступить ко второй части нашего заседания, Олег внёс в комнату красивую суповую вазу, покрытую, как полагается, специальной крышкой. Президент так и замер.

— Неужели это оно? — спросил он с робкой надеждой в голосе.

— Не оно, а он, — поправил Олег.

Нулик благоговейно приблизился к столу и осторожно поднял замысловатый фарфоровый купол. В лицо ему дохнул запахом ванили густой молочный кисель. Президент издал победный клич и хотел уже запустить в него ложку, но Таня тут же её отняла.

— Сперва надо подобрать подходящее ведёрко, не то не едать нам киселя.

— Ну, тогда подберём его поскорее! — волновался Нулик. — Кто просит слова?

— Кто же ещё? Разумеется, ты, — засмеялся Сева.

— Ошибаешься — я киселя прошу! А слова просит. — Нулик обвёл глазами присутствующих, стараясь отгадать, кто решит задачу без проволочек.

— Слова прошу я! — сказала Таня. — Предлагается вычислить радиус круга, вписанного в прямоугольный треугольник. При этом известно только то, что гипотенуза равна 13 дециметрам, а сумма обоих катетов — 17 дециметрам.

Таня вычертила на бумажке прямоугольный треугольник и обозначила его стороны буквами а, b и с.

— Нет, нет! — запротестовал Нулик. — Так не годится. Твоя гипотенуза — сразу видно — меньше 13 дециметров, да и катеты тоже…

— Числа тут ни при чём, — отмахнулась Таня. — Вычислить радиус вписанного круга можно при любых данных.

— С той оговоркой, что сумма катетов всегда больше гипотенузы, — тихо подсказал Олег.

— Конечно, — кивнула Таня. — Итак, вписываю в прямоугольный треугольник круг. Пусть его радиус равен r.

— Раз числа ни при чём, пусть будет r, — согласился Нулик.

Таня провела три радиуса в точки касания круга со сторонами треугольника.

— Прежде чем решать задачу, — сказала она, — заметьте, что точки касания делят стороны треугольника на две части Кроме того, очень важно вспомнить, что радиус, проведённый в точку касания, всегда перпендикулярен касательной. Стало быть, после того как мы провели радиусы в точки касания, при вершине прямого угла у нас образовался квадрат. А у квадрата все стороны между собой равны. Отсюда следует, что катет а разделился на части r и а — r, а катет b — на части r и b — r. Остаётся выяснить немногое: на какие части точка касания разделила гипотенузу. Кто хочет высказаться?

Сева почтительно привстал

— Позвольте мне, профессор. Надеюсь, всем известно, что касательные к кругу, проведённые из одной точки, равны между собой?

— Всем известно! — буркнул Нулик, нетерпеливо барабаня пальцами по столу. — Только для чего это надо?

— А для того, что отсюда сразу ясно; гипотенуза разделилась в точке касания на отрезки а — r и b — r. Теперь мы можем сказать, что гипотенуза равна сумме двух отрезков. а — r и b — r, то есть с = а — r + b — r. А уж отсюда ничего не стоит вывести, что диаметр круга равен сумме катетов минус гипотенуза, то есть

— Как просто! — захихикал Нулик. — Но всё-таки проверим. Значит, с у нас равно 13, а (а + b) равно 17. Тогда 2r = 17–13, то есть 4 дециметрам. А ну, налейте-ка мне тарелочку молочного киселя.

Когда тарелки опустели, президент сказал, довольно потирая руки:

— Ну вот, кисель исчерпан и повестка дня тоже.

— Ничего подобного, — возразил Олег. — Мы ещё ничего не сказали о задаче, которую Единичка задала Магистру.

— Это когда они летели над Бамбуковым океаном? — вспомнил Нулик. — У Магистра ещё компас сломался…

— Да нет, компас у него наверняка был в полной исправности.

— Почему ты думаешь? — удивился Нулик. — Ведь стрелка вертелась из стороны в сторону без всякого смысла…

— Это не стрелка вертелась. Это Единичка повернула карту на 90 градусов. А стрелка компаса всегда направлена в одну и ту же сторону — одним концом на северный магнитный полюс Земли, другим — на южный.

— Полюс, это там, где все меридианы пересекаются? — спросил Нулик, желая, очевидно, похвастаться своей эрудицией.

— Меридианы пересекаются на географическом полюсе, — сказал Олег, — а магнитный, полюс, на который указывает стрелка компаса, чуть-чуть с ним не совпадает. Так что смешивать полюс географический с магнитным не стоит. Но вернёмся всё-таки к Единичкиной задаче. По-моему, очень любопытная задача.

— Не такая уж, наверное, любопытная, если Магистр решил её единым махом, — сказал президент пренебрежительно.

— Решил, да неправильно. Ведь девять в кубе — это 729, а сумма шести в кубе и восьми в кубе всего только 728.

— Не придирайся! — заартачился Нулик. — Подумаешь, ошибся человек на единицу! Можно, поди, подобрать и такие три числа, чтобы куб одного был в точности равен сумме кубов двух других.

— В том-то и дело, что нельзя.

— Это почему же?

Олег развёл руками.

— Прошу прощения, ваше президентство, но тут дело тонкое.

Президент обернулся в мою сторону:

— Правда?

Я кивнул.

— Да, брат, ты коснулся проблемы, над которой бились многие талантливые учёные, а всё без толку… Точнее, почти без толку. Эта проблема известна под именем великой теоремы Ферма. В молодости я очень ею увлекался…

Глаза президента сверкнули.

— Расскажите! — потребовал он.

— Расскажите, расскажите! — поддержали остальные.

— Но для этого потребовалось бы целое заседание, — беспомощно отнекивался я.

— В таком случае, — объявил президент, — назначаю на послезавтра внеочередное заседание КРМ, посвященное великой теореме Ферма!

Этим широковещательным анонсом и закончилось наше сборище.