"Новые рассказы Рассеянного Магистра" - читать интересную книгу автора (Левшин Владимир Артурович)

ПЕРВОЕ ЗАСЕДАНИЕ КРМ,

начинающее третью сессию нашего клуба, объявлялось открытым по крайней мере раз десять, прежде чем открылось окончательно. В общем, этого следовало ожидать после солидного перерыва члены высокого собрания чуть не лопались от новостей. Особенно распирало Нулика. Как видно, успехи на общественном поприще порядком вскружили ему голову. Нос его, и без того курносый, что-то очень уж задрался, речь приобрела излишнюю многозначительность и большей частью начиналась со слов «когда я…»

— Когда я выступал на Международном конгрессе простых чисел… Когда я прибыл на Всекарликанский съезд десятичных дробей. Когда я вручал призы победителям олимпиады в Аль-Джебре.

— «Когда я на почте служил ямщиком», — неожиданно запел во всё горло Сева, который почувствовал настоятельную потребность сбить спесь с зазнавшегося президента.

К счастью, это было не так уж трудно. Прерванный на полуслове, Нулик поперхнулся, растерянно обвёл глазами смеющиеся лица товарищей и вдруг расхохотался сам. Да как! Громче всех! Русый хохолок над его лбом так и запрыгал, и на душе у меня сразу потеплело. Я с удовольствием убедился, что юмор у президента ещё не отшибло. А раз юмор в порядке, значит, не всё потеряно.

Из-под стола жизнерадостно тявкнул Пончик — словно восклицательный знак поставил! Это звонкое собачье междометие оборвало затянувшееся вступление, и мы наконец перешли к делу. На первых порах оно свелось к жаркому спору о методах работы клуба.

Соображения на этот счёт были самые разные. Олег, например, считал, что мы, как и прежде, должны ограничиваться разбором Магистровых ошибок, не слишком-то вдаваясь в его детективную деятельность. Магистр, по его мнению, чересчур рассеян для подобной профессии, и доверять его сведениям рискованно.

— «Рискованно, рискованно»! — проворчал Сева — А пустить такое ответственное дело на самотёк не рискованно? В конце концов, ум хорошо, а десять лучше! Он напутает, а мы распутаем. Правильно я говорю?

Но Таня, к которой относился этот вопрос, ответила до того уклончиво, что никто так и не понял, какой точки зрения она придерживается. Не сомневаюсь, что в глубине души она была согласна с Севой, но слишком привыкла держать сторону Олега.

После её туманного выступления предложение Нулика прозвучало особенно категорично. Он заявил, что, по его мнению, клуб КРМ должен немедленно последовать за Магистром, чтобы обсуждать его действия, так сказать, на месте преступления.

— Кроме того, — добавил Нулик, — в такой запутанной истории без собаки не обойтись. А где найдёшь такую ищейку, как Пончик?

Что и говорить, Пончик — аргумент веский! Но от поездки в Терранигугу, так же как и от преждевременных догадок относительно особняка Джерамини и всех его таинственных странностей, решено было всё-таки воздержаться.

— Пусть каждый делает своё дело, — сказал я — Дело Магистра ошибаться, дело клуба — разбирать его ошибки…

— …и решать предложенные ему математические загадки, — ввернул Олег. — А их две, если не ошибаюсь.

— Не ошибаешься, — согласился Сева с тяжёлым вздохом. — Ты у нас никогда не ошибаешься. Совсем, как та кукла, которую купила Единичка.

— А вот и неправда! — оживился загрустивший было Нулик — Кукла-то как раз и ошиблась. Ей надо было сперва сделать скидку, а уж потом набавлять за доставку, а она как рассчитала? Всё шиворот-навыворот!

— Тебе-то что? — возразила Таня. — Ведь результат от этого ничуть не изменился!

— То есть как? — опешил Нулик — По-твоему, безразлично, что так считать, что эдак?

— Не всегда. Но в данном случае безразлично.

Нулик решительно встал.

— Что-то у меня черепушка не варит. По-моему, самое время позавтракать.

Он сбегал на балкон, где стояла его персональная мини-ракета, достал там из багажника объёмистый пакет, и мгновение спустя все мы с аппетитом уплетали тёплые пахучие пирожки, приготовленные добрыми руками мамы-Восьмёрки.

— Перед такими пирожками надо шляпу снимать, — сказал Сева, запивая изделие хлебосольной карликанши традиционным апельсиновым соком.

Таня фыркнула:

— Обжора!

— Скажите, какое небесное создание! — негодовал Сева — А сама, между прочим, больше всех съела.

Олег насмешливо покосился на спорщиков.

— Чем пирожки считать трудиться.

— …не лучше ли к задаче обратиться! — победоносно отчеканил Нулик, очень довольный тем, что так ловко приспособил Крылова к нуждам математики.

— Что правда, то правда, — засмеялась Таня. — Итак, предположим, что умная кукла стоила сначала 100 рублей.

— Не рублей, а колумбов! — поправил президент, усердно жуя.

— Хорошо, 100 колумбов. Потом мастер снизил цену на 20 процентов, то есть на…

— …то есть на 20 колумбов, — подхватил Нулик.

— Стало быть, куклу продали Единичке за 80 колумбов. Зато за доставку взяли ещё 20 процентов с этой суммы.

Нулик озабоченно свёл к переносице светлые бровки.

— Двадцать процентов от восьмидесяти — это будет… это будет 16 колумбов!

— Умница! Значит, в кассу Магистр должен был уплатить 96 колумбов, то есть 80+16.

— Это если считать так, как сказал хозяин, — не сдавался Нулик. — Но ведь кукла вела расчёт совсем в другом порядке. Она сперва прибавила к 100 колумбам 20 процентов за доставку, а это ни много ни мало 120 колумбов. Понимаете?

— Понимаем, понимаем, — успокоил его Сева. — Валяй дальше.

— Дальше эта пластпупсовая касса отняла от 120 колумбов 20 процентов. По-моему, это… Сколько это, по-моему?

— По-твоему, это 24 колумба, — подсказал Олег.

— Вот именно, 24, — величественно кивнул президент. — А ну-ка, отнимем от 120 колумбов 24. Что получится? Гм… Получатся те же 96 колумбов…

Нулик сконфуженно развёл коротенькие ручки.

— Случайность! Если взять другие числа, ну там 120 или 200, ответы при разных способах расчёта не совпадут.

— Чтобы не перебирать сотни разных чисел, — предложил Олег, — давай изобразим оба эти расчёта в общем виде. Если результаты получатся одинаковые, значит, эта задача может быть решена двумя способами расчёта при любых числах.

Президент изъявил своё милостивое согласие, и Олег, вооружившись карандашом, начал.

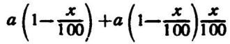
— Обозначим первоначальную цену куклы буквой а, а число прибавляемых или вычитаемых процентов — буквой икс (х). Один процент это а/100. Значит, икс процентов равно (ах)/100. Отсюда стоимость куклы после снижения цены будет выглядеть так.

— Теперь, — продолжал Олег, — вычислим икс процентовуже от этой суммы. Получим

Остаётся прибавить к сниженной стоимости куклы то, что полагается уплатить за доставку:

После простейших преобразований получим вот что

— Ну как, согласен? — спросил Олег, поставив последнюю точку.

— Вроде всё правильно, — процедил Нулик, придирчиво оглядев запись. — Теперь запиши в общем виде расчет кассы.

— Нет ничего проще. Стоит только в первой скобке полученного нами выражений вместо минуса поставить плюс, а во второй — вместо плюса минус. И всё.

— Стало быть, здесь сомножители попросту поменялись местами, — догадался Нулик.

— Конечно, — подтвердил Олег. — А от перестановки сомножителей произведение, как тебе известно…

— …не меняется! — радостно выпалил президент. — Вот это да! Выходит, терранигугунцы и в самом деле в математике кое-что мерекают.

— Будьте благонадёжны! — заверил его Олег. — И в этом мы убедимся ещё раз, когда разберём вторую задачу.

— Ту, которую задал Магистру мальчик, ничего не смыслящий в астрологии?

— Ты хочешь сказать, в астрономии, — уточнил Оле-

— Астрология, астрономия, — надулся Нулик. — Какая разница?

— Эй, ты, полегче на поворотах! — цыкнул на него Сева, который считал себя крупным специалистом по части небесной механики. — Астрономия — наука точная, зато астрология — так, гадание на кофейной гуще…

— Скорей уж — на звёздной, — пошутила Таня.

Глаза у Нулика так и загорелись.

— Гадание на звёздной гуще! Вот, наверное, интересно! Мне бы попробовать.

— За чем же дело стало! Перенесись в древние века, во дворец какого-нибудь восточного владыки и поступай к нему на службу астрологом…

— А дальше что?

— Дальше повелит тебе владыка составить для него гороскоп.

— Чего-чего?

— Гороскоп, ну, карту, где показано расположение звёзд в тот день, когда родился человек, судьбу которого надо предсказать.

— Судьбу? По звёздам?! Да ты в уме? Какая же связь между звёздами и судьбой человека?

— То-то и оно, что никакой. Да только астрологи утверждали обратное. Неспроста и сейчас говорят ещё этот человек родился под счастливой или под несчастной звездой.

Нулик сердито стукнул ладошкой по столу.

— Шарлатаны твои астрологи — вот кто!

— Ну это как сказать! Многие из них были одновременно и настоящими учёными, сведущими астрономами и сделали немало действительно ценных наблюдений и открытий.

Президент пренебрежительно оттопырил нижнюю губу.

— Настоящие учёные? Зачем же тогда они занимались предсказаниями?

— Да так. Вероятно, по совместительству.

— Вернее, по необходимости, — разъяснила Таня. — Всяких там фараонов и царей судьбы настоящей науки заботили далеко не всегда. Собственная судьба занимала их куда больше. Вот и приходилось учёным идти в прорицатели. Такой ценой покупали они возможность работать в роскошных дворцовых обсерваториях и изучать там движения небесных тел.

Президент облегчённо вздохнул.

— Хорошо всё таки, что сейчас не древние века и мне не надо идти в астрологи.

— Думаешь, астрология процветала только в древние времена? — возразил Сева. — Ничего подобного! Кое-где гороскопы составляют даже в нашем, двадцатом веке. Не у нас, конечно, а в других странах.

— Во всяком случае, не в Карликании, — сказал президент. — Так что перейдём от астрологии к астрономии. У нас ведь сейчас на очереди лунное затмение. Если не ошибаюсь, оно происходит тогда, когда Солнце закрывает Луну. Так кажется, объяснял Магистр?

Вот когда мы нахохотались вволю! Только на сей раз Нулик и не думал смеяться вместе со всеми. Лицо его выражаю полное недоумение.

— Многоуважаемый президент! — сказал, наконец Сева, утирая весёлые слезы. — Сделайте одолжение, запишите в своём блокноте — лунное затмение бывает не оттого, что Луну закрывает Солнце, а по той простой причине, что на неё на ползает тень освещенной Солнцем Земли.

— Да ну! — изумился Нулик

— Вот тебе и «ну»! Понимаешь теперь, почему мальчик из Уа-уа ответил Магистру, что явления, которое наш друг называет лунным затмением, ожидать не приходится, по крайней мере, в ближайшее тысячелетне?

— Что уж тут понимать! — уныло сказал Нулик. — Просто парень был с юмором. Ты мне другое объясни: неужели время лунного затмения и вправду можно вычислить заранее?

— Конечно. Так же, как и время солнечного. Зато чего нельзя, так это предугадать дату землетрясения. Тут уж наш юный терранигугунец явно заврался.

— Зачем же так грубо? — поморщилась Таня. — Скажи лучше — нафантазировал. Просто так, для интереса. Чтобы загадка получилась позанятней да позаковыристей.

— Она и вправду занятная, оживился Олег. — Мальчик сказал, что даты двух терранигугунских землетрясений, происшедших в двадцатом веке, представляют собой простые числа, которые отличаются особыми свойствами — никакой перестановкой цифр другого простого числа, изображающего какой-либо минувший год нашей эры, из них не сделать. Теми же свойствами обладают и даты трёх грядущих землетрясений, которые, по уверению мальчика, тоже произойдут в нашем же, двадцатом веке Эти-то числа и предлагается отгадать.

— Ну уж дудки! — отрезал Нулик — Это всё равно невозможно.

— Отчего же? — невозмутимо сказал Олег. — Последуем совету мальчика — откроем справочник Выгодского и найдём таблицу простых чисел. Вот она. Из неё мы легко узнаем, что в нашем столетии простыми числами изображаются всего 13 годов. Это 1901, 1907, 1913, 1931, 1933, 1949, 1951, 1973, 1979, 1987, 1993, 1997 и 1999 годы. Семь из этих 13 лет уже прошли, а среди семи прошедших есть всего два числа, подходящих нам по свойствам. Это 1933 и 1951 годы. Точно такими же свойствами обладают и три числа, изображающие будущие, годы двадцатого века. Это 1973, 1979 и 1999. Вот мы и нашли, что искали. А ты говорил — невозможно.

Нулик смущённо улыбнулся.

— Это я потому, что загадка была о простых числах. А где простые числа — уж там жди сложностей! Я-то знаю. Это только для Магистра все числа простые. Наверное, он забыл, что такое простое число.

— Он забыл, а ты-то помнишь? — поддразнил Сева.

— А то нет! Простыми называются числа, которые, кроме как на самих себя да ещё на единицу, ни на какие другие не делятся.

— Молодец! — похвалила Таня. — Можешь прибавить к своим сведениям о простых числах ещё и то, что среди них встречаются близнецы.

— Ну да? Мальчики или девочки?

— Ни то, ни другое. В данном случае близнецы — два последовательных нечётных простых числа. Например, 29 и 31.

— И много таких? — поинтересовался Нулик.

— Хватает. Правда, чем дальше по натуральному ряду, тем простые числа встречаются реже, но близнецы при этом попадаются довольно часто. Вот хоть 4721 и 4723. Или 5849 и 5851. Такие близнецы есть даже среди десятизначных и стозначных простых чисел.

— А вообще-то простые числа где-нибудь да кончаются? — спросил Нулик с надеждой в голосе.

— Нигде! — уверенно ответил Олег. — Это уже давным-давно доказал старик Эвклид.

— Хорошо ещё, что заседания кончаются, — сказал президент.

Тут он взял свой колокольчик, позвонил и тоном, не допускающим возражений, объявил заседание закрытым.