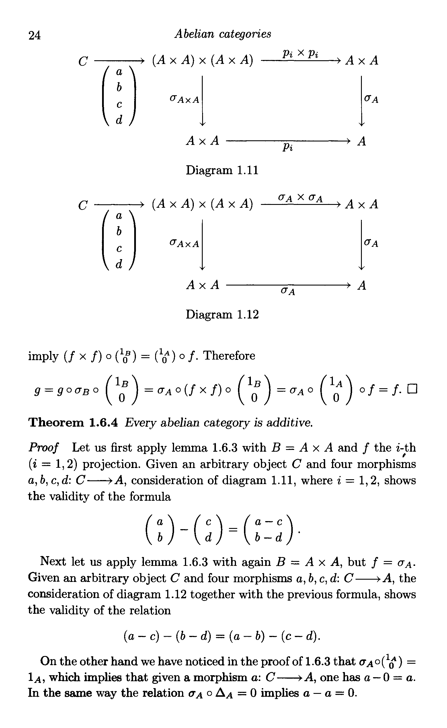
"Handbook of categorical algebra. Categories and structures" - читать интересную книгу автора (Francis Borceux) |
|
© 2026 Библиотека RealLib.org
(support [a t] reallib.org) |