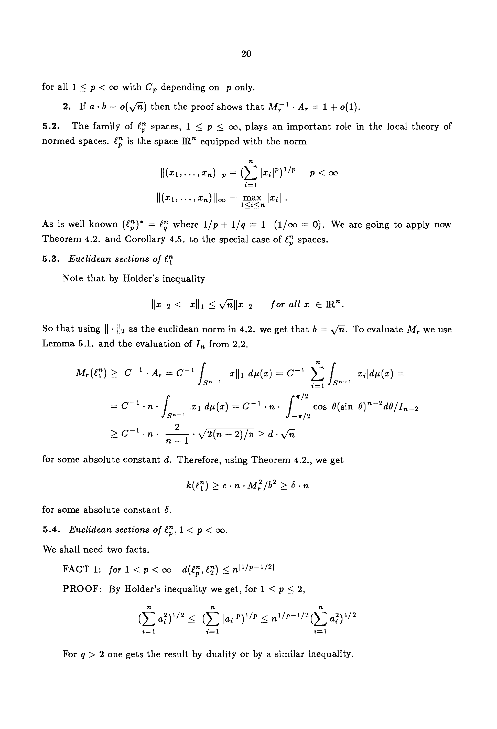
"Asymptotic theory of finite dimensional normed spaces" - читать интересную книгу автора (Vitali D. Milman)