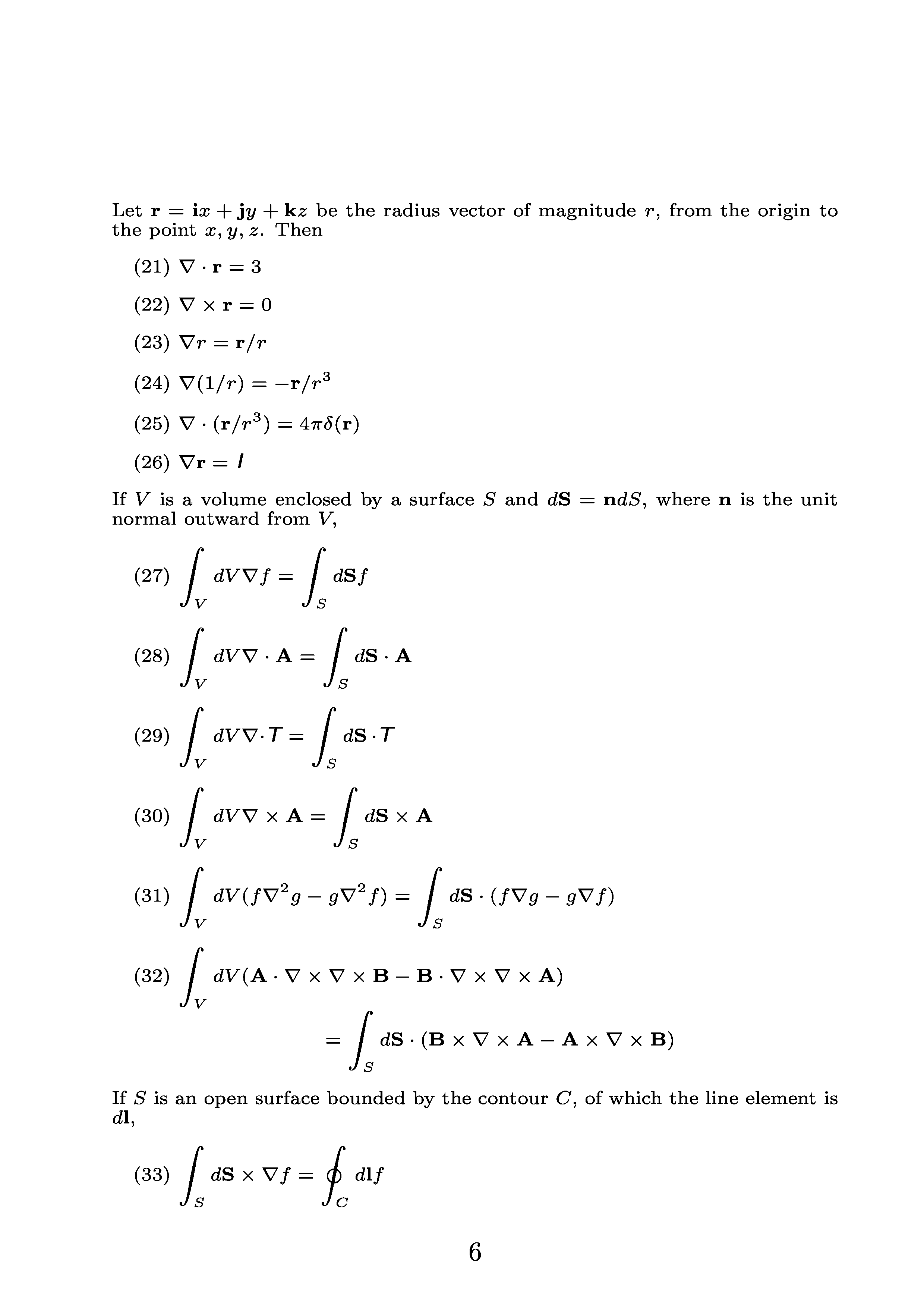
"The Natl. Plasma physics formulary" - читать интересную книгу автора (Huba J.D. (ed.))