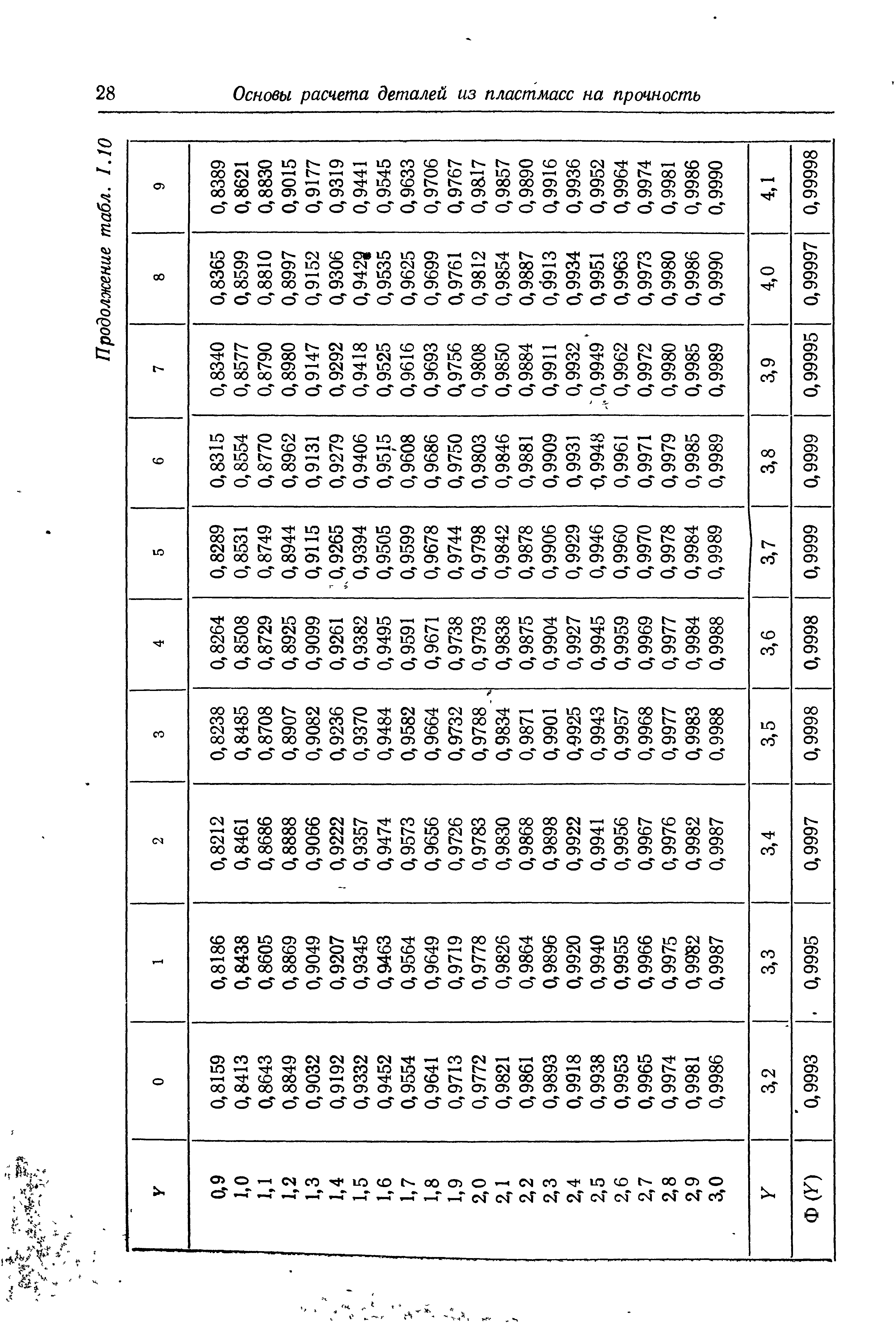
"Основы конструирования и расчета деталей из пластмасс и технологической оснастки для их изготовления. Учебное пособие для студентов вузов" - читать интересную книгу автора (Мирзоев Р.Г. и др.)