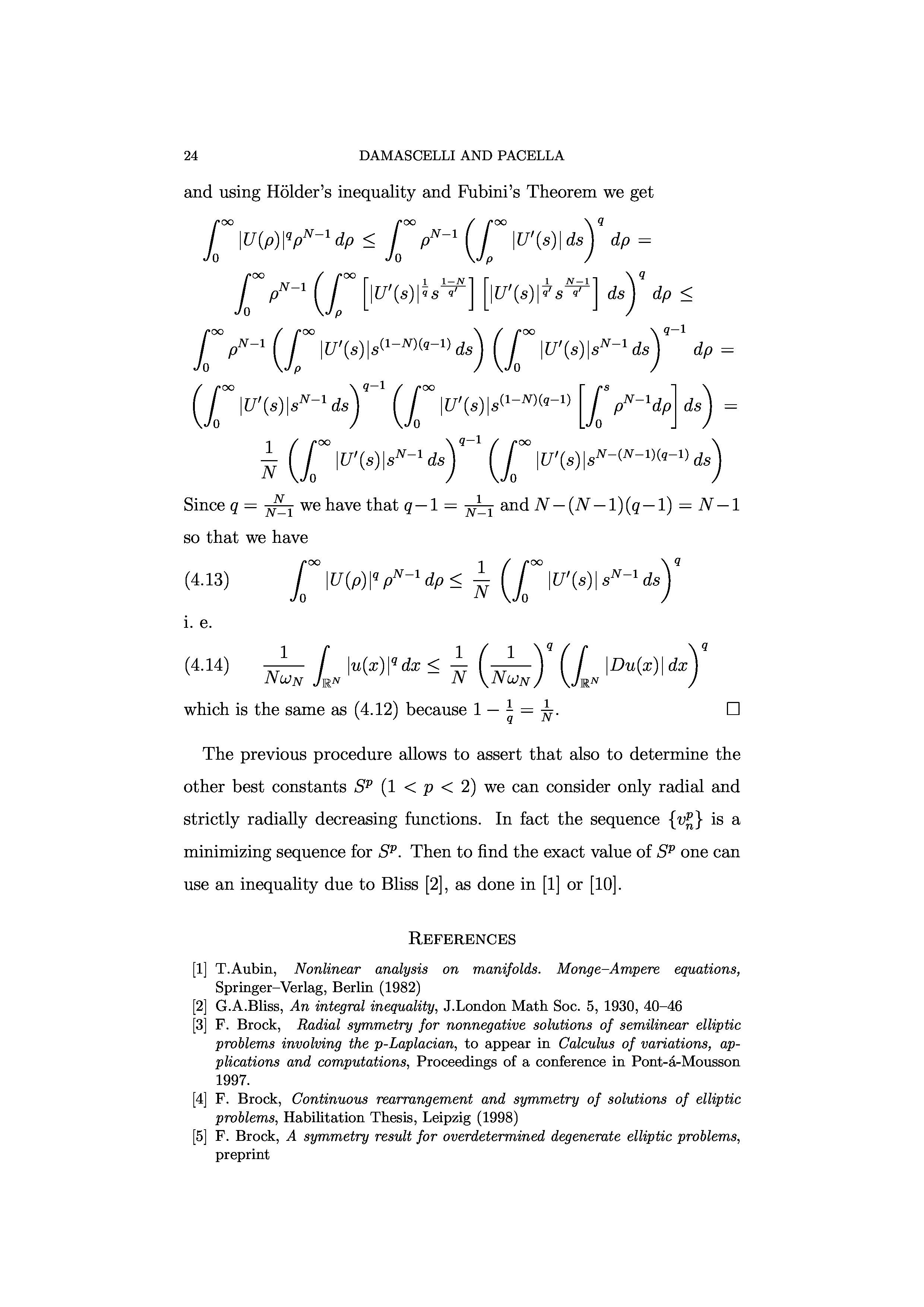
"Monotonicity and symmetry results for p-Laplace equations and applications" - читать интересную книгу автора (Damascelli L., Pacella F.) |
|
© 2026 Библиотека RealLib.org
(support [a t] reallib.org) |