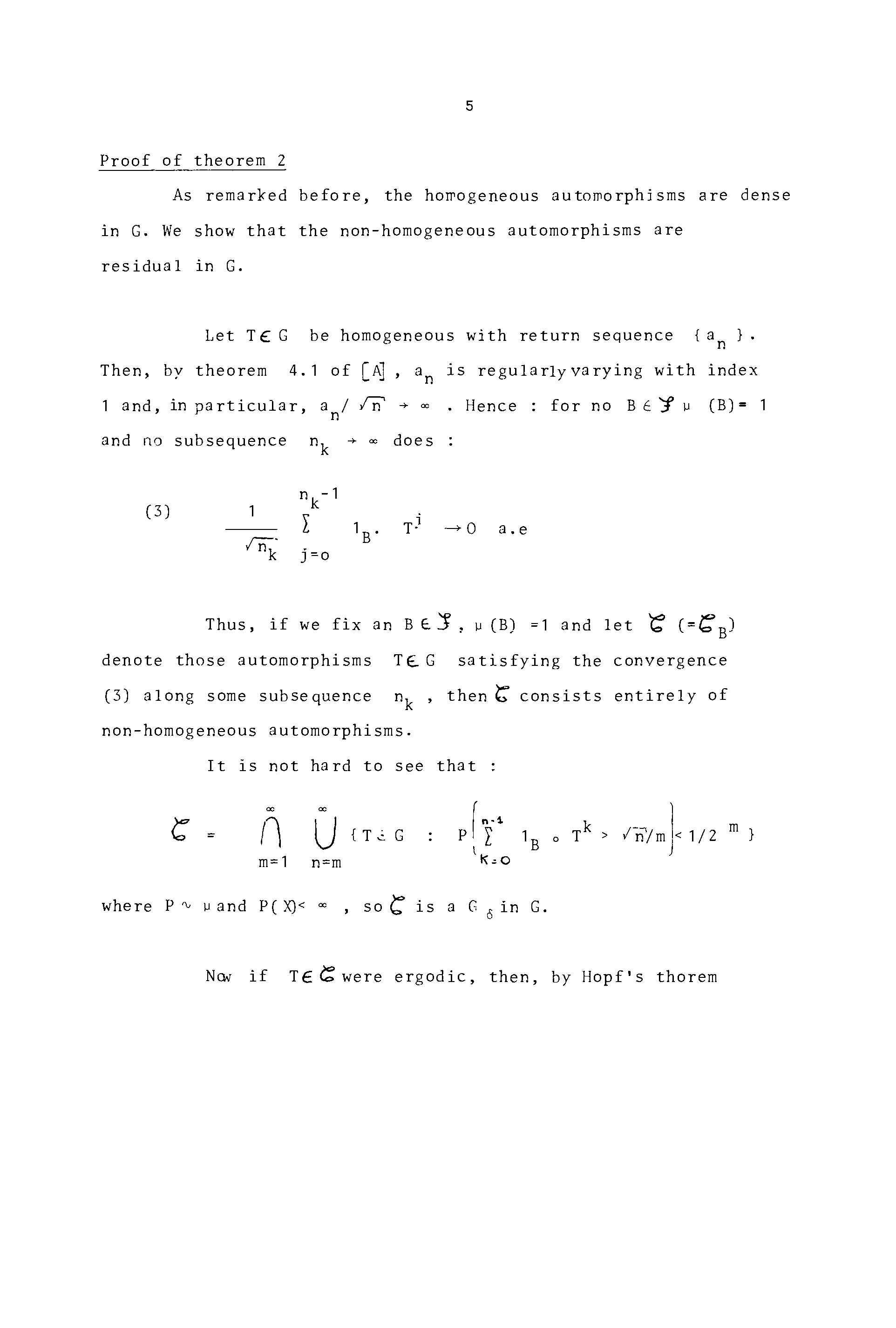
"Ergodic Theory" - читать интересную книгу автора (Denker M. (ed.), Jacobs K. (ed.))