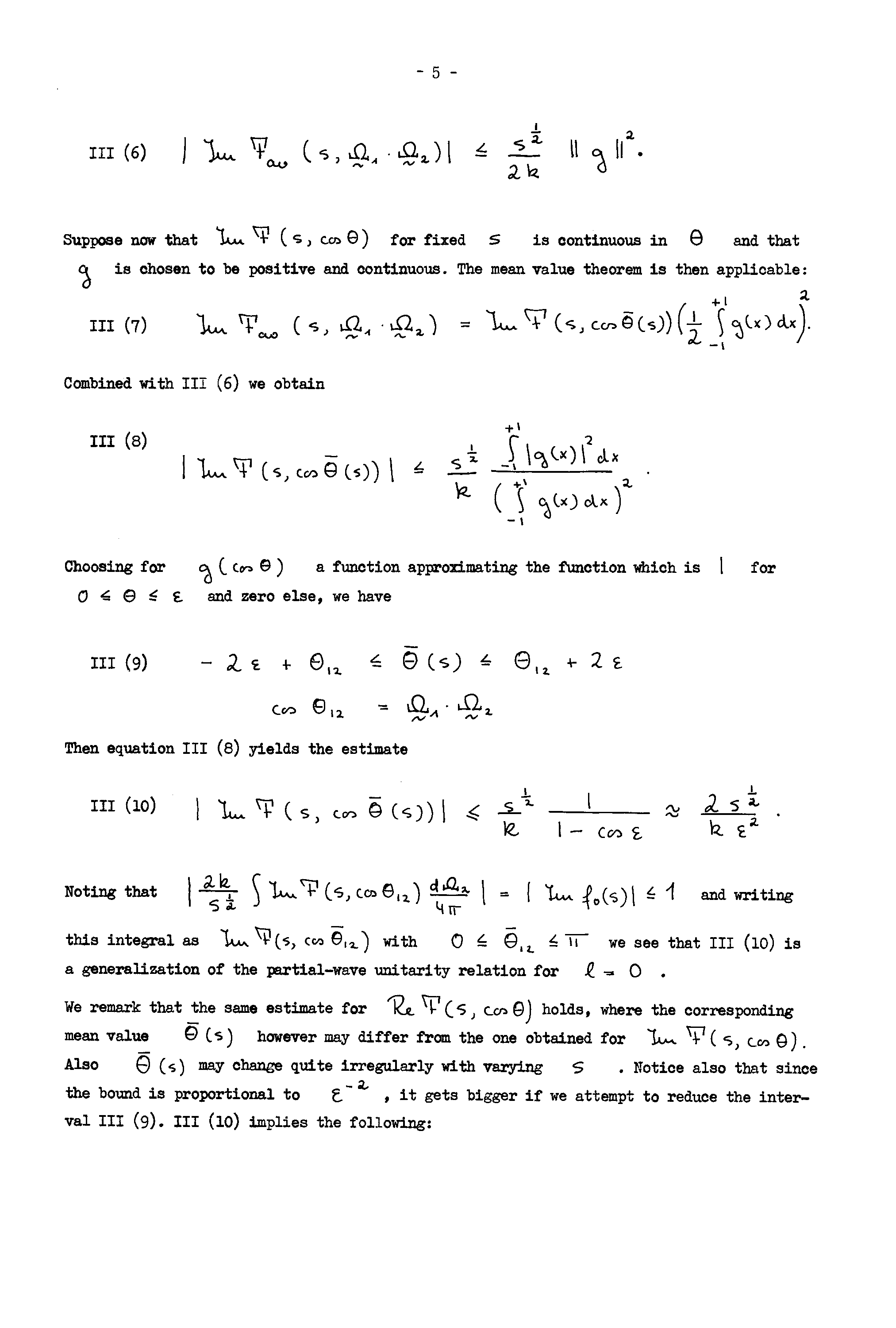
"Scattering Theory: Unitarity, Analyticity and Crossing " - читать интересную книгу автора (Andre; Schrader, R. (note taker) Martin) |
|
© 2025 Библиотека RealLib.org
(support [a t] reallib.org) |