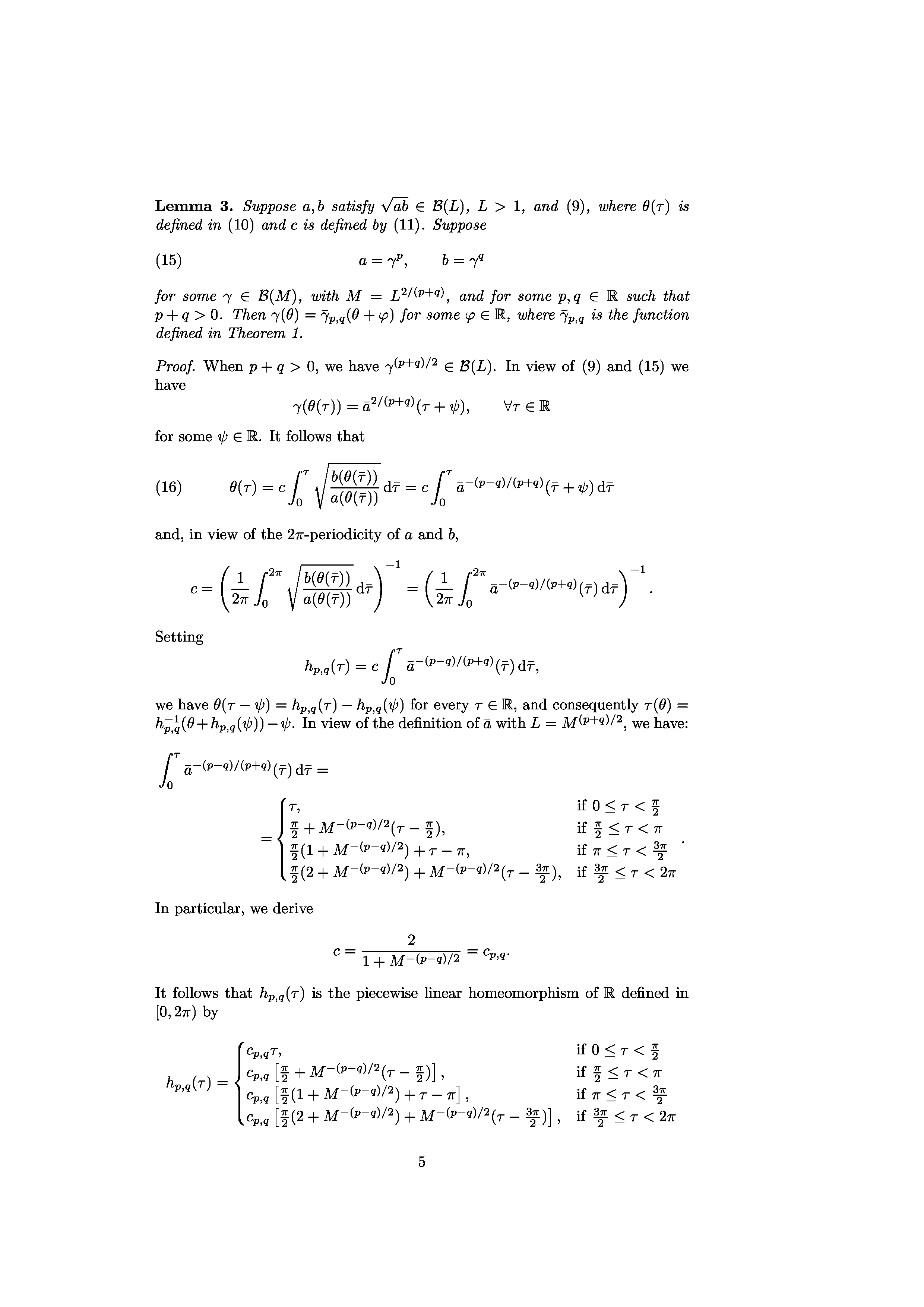
"A sharp weighted Wirtinger inequality" - читать интересную книгу автора (Ricciardi T.)