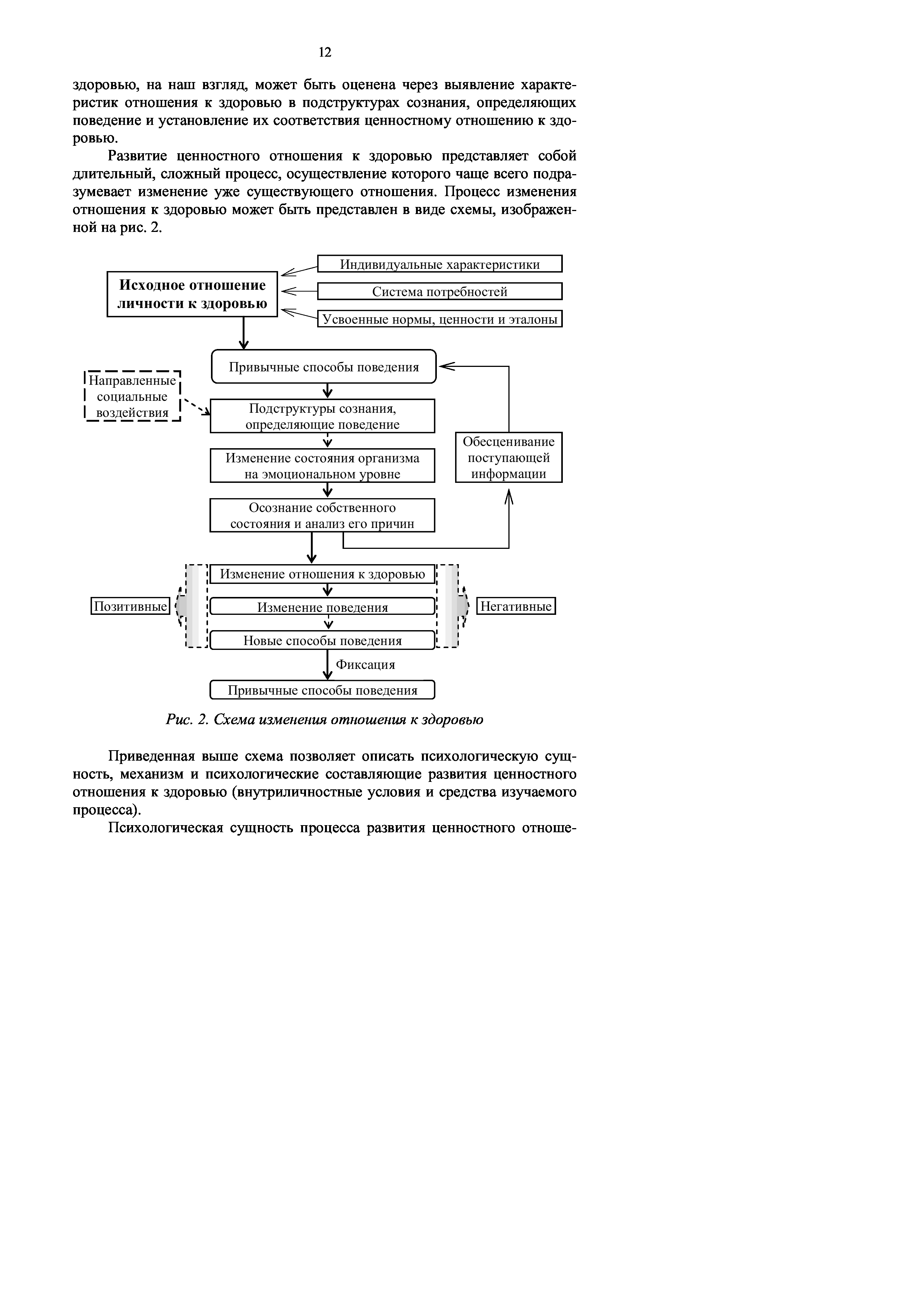
"Психологич. составляющие цен. отношения к здоровью у студентов педагогич. ВУЗа(Автореферат)" - читать интересную книгу автора (Белинская Т.В.)