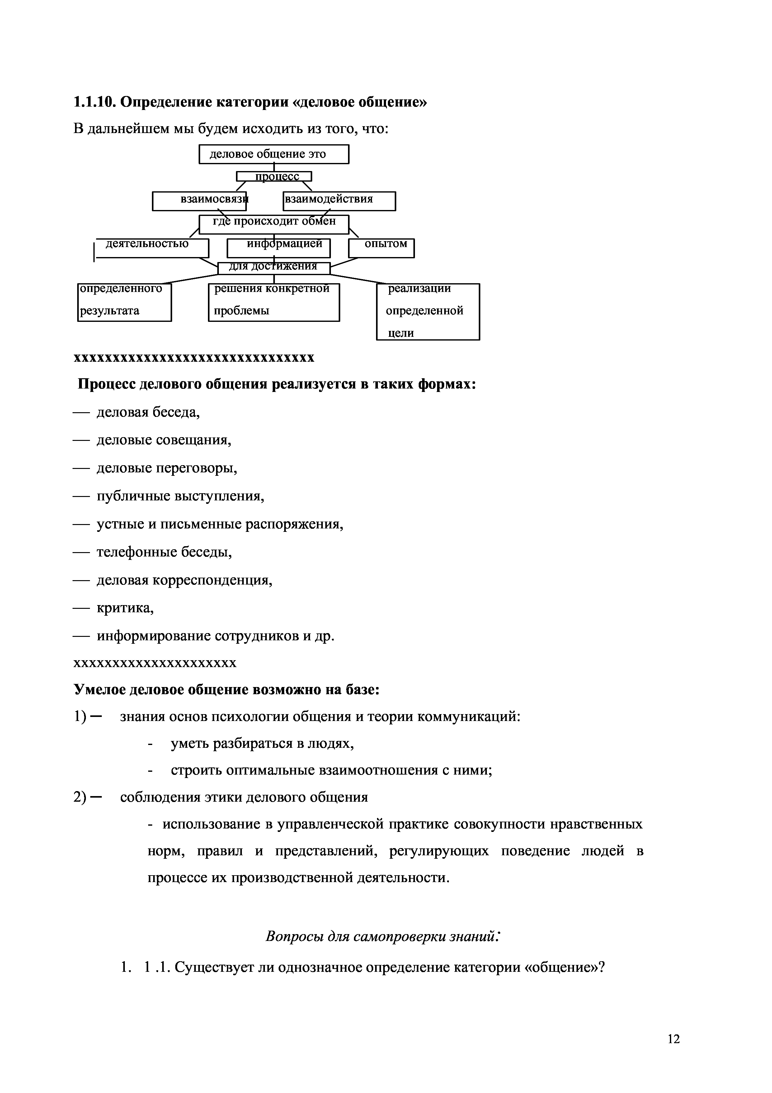
"Деловое общение: Учебное пособие" - читать интересную книгу автора (Рева В.Е.)