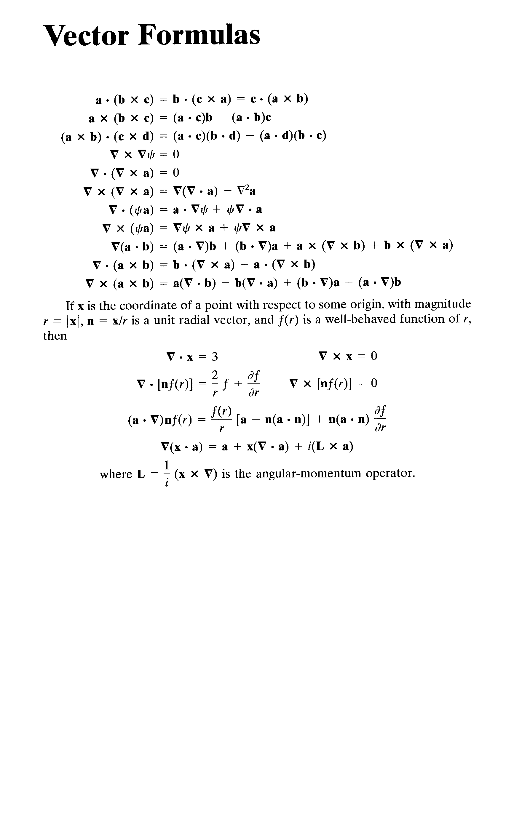
"Classical electrodynamics" - читать интересную книгу автора (John David Jackson)