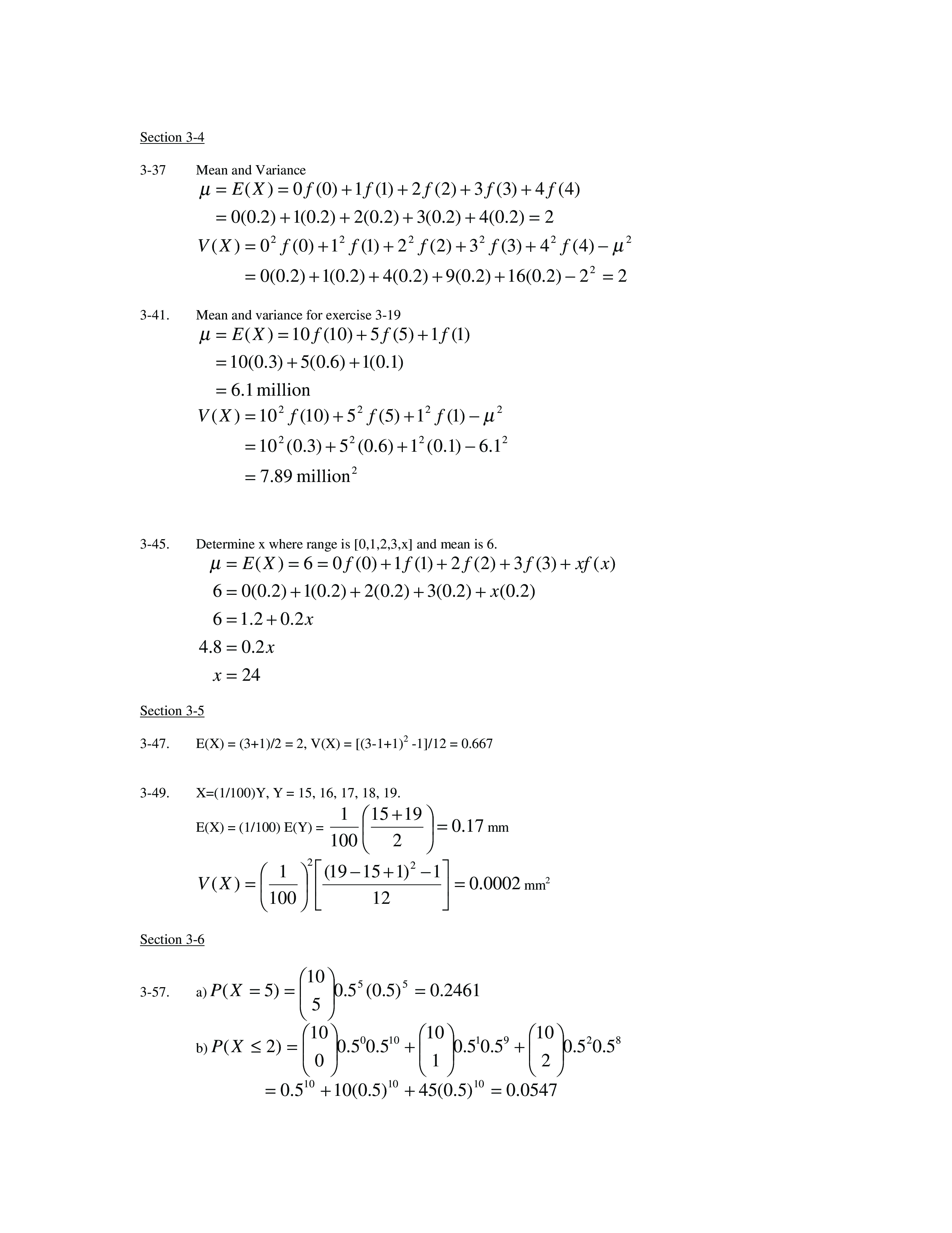
"Applied Statistics And Probability For Engineers solution" - читать интересную книгу автора (Douglas C. Montgomery, George C. Runger) |
|
© 2025 Библиотека RealLib.org
(support [a t] reallib.org) |