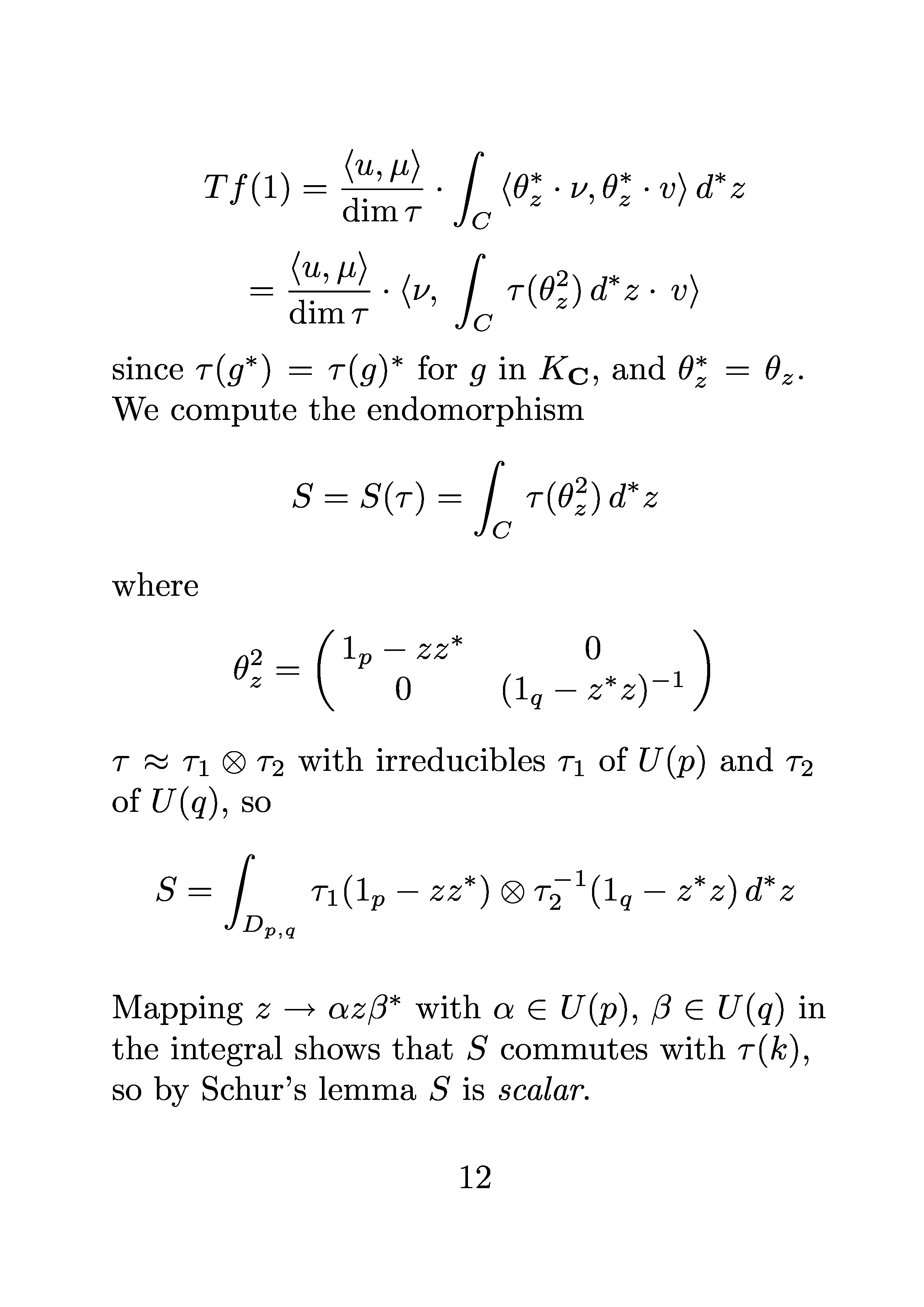
"Archimedean Zeta Integrals" - читать интересную книгу автора (Garett P.)