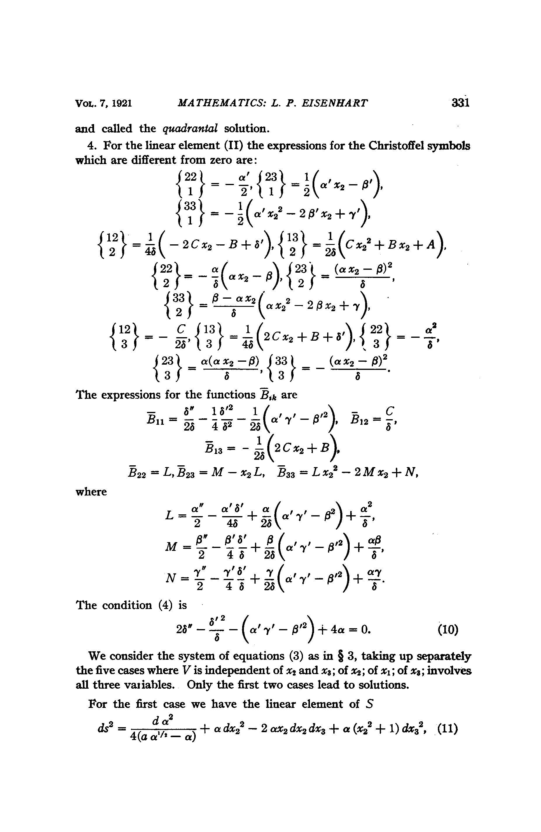
"Einstein Static Fields Admitting a Group G2 of Continuous Transformations into Themselves" - читать интересную книгу автора (Eisenhart L. P.) |
|
© 2025 Библиотека RealLib.org
(support [a t] reallib.org) |