"Tensors and the Clifford Algebra: Applications to the Physics of Bosons and Fermions" - читать интересную книгу автора (Charlier Alphonse, Berard Alain) |
|
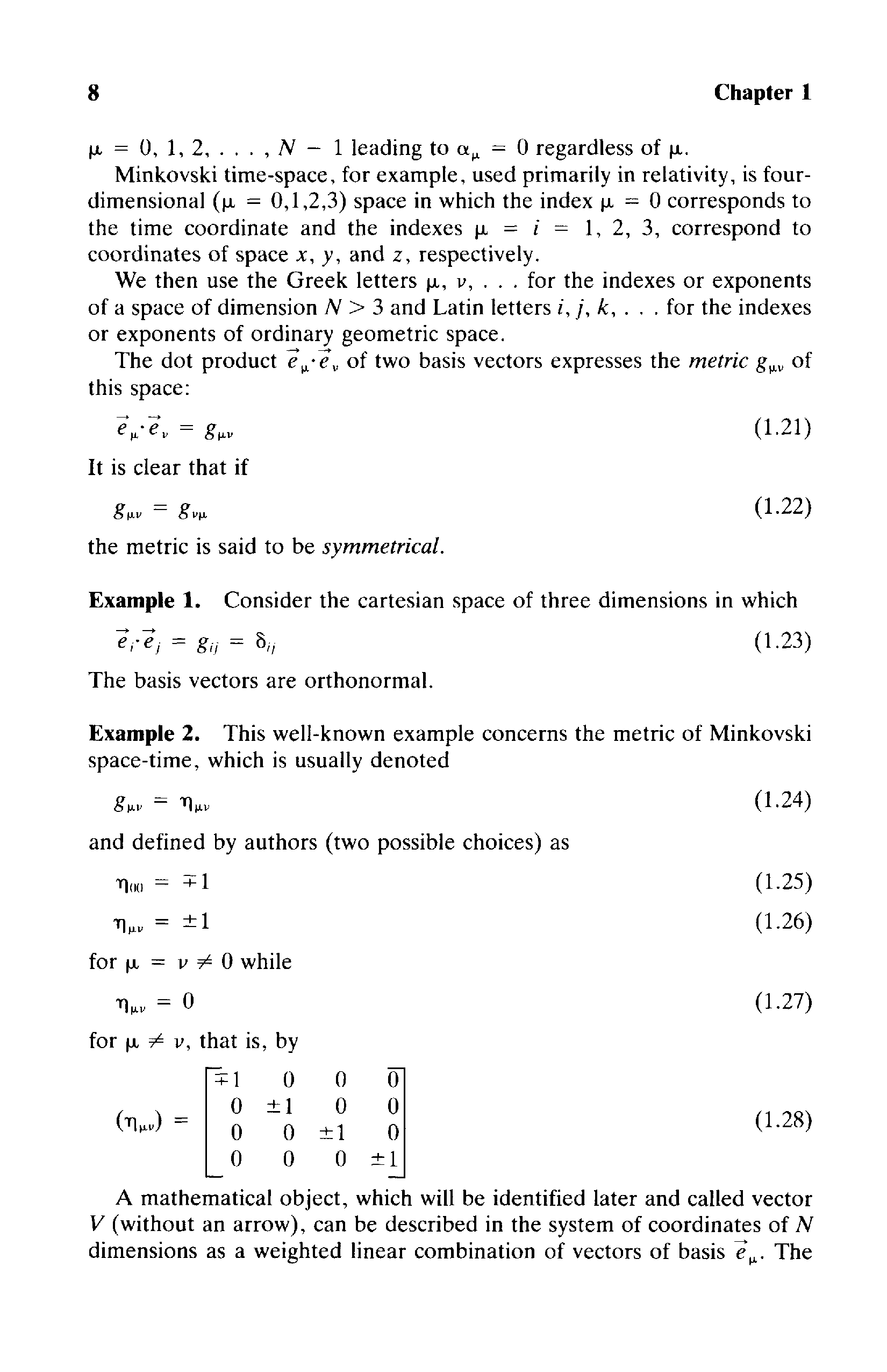
© 2025 Библиотека RealLib.org
(support [a t] reallib.org) |