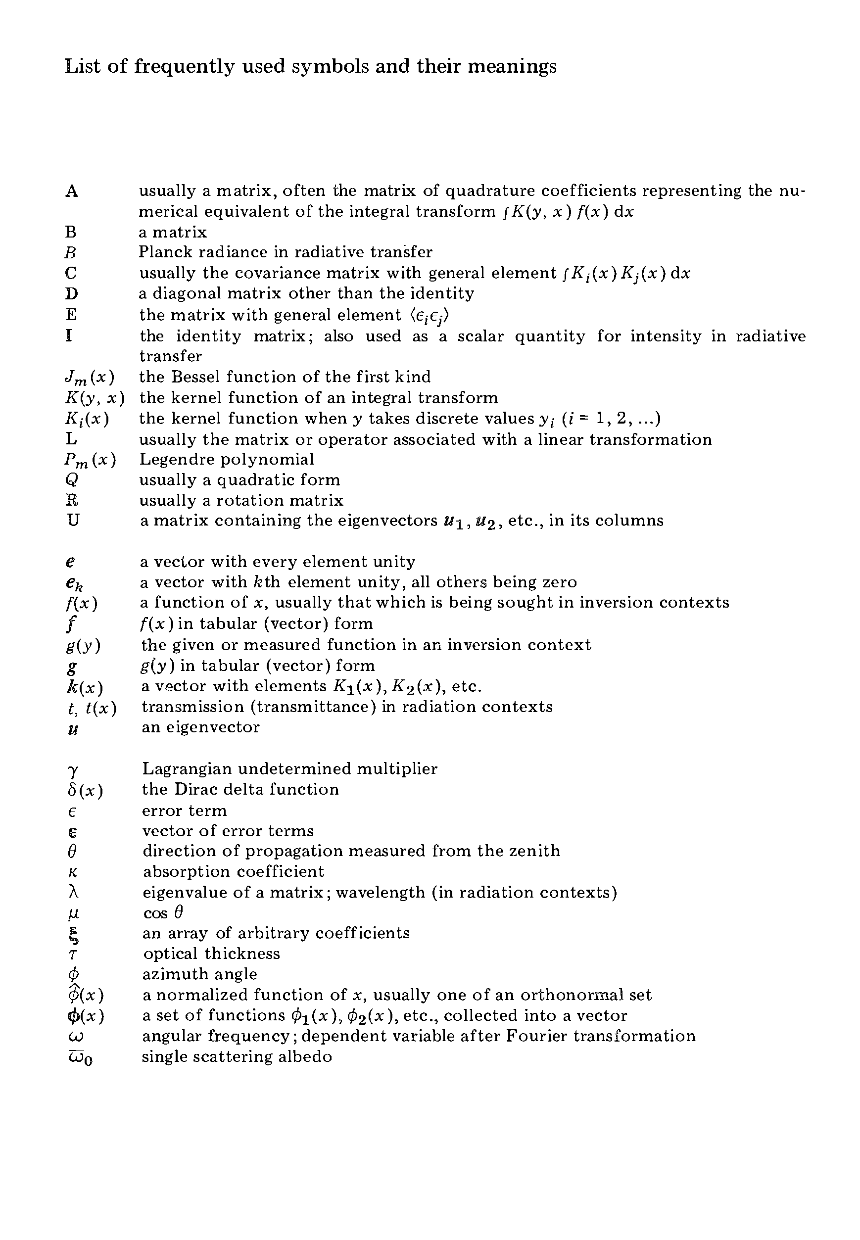
"Introduction to the mathematics of inversion in remote sensing and indirect measurements" - читать интересную книгу автора (S. Twomey)