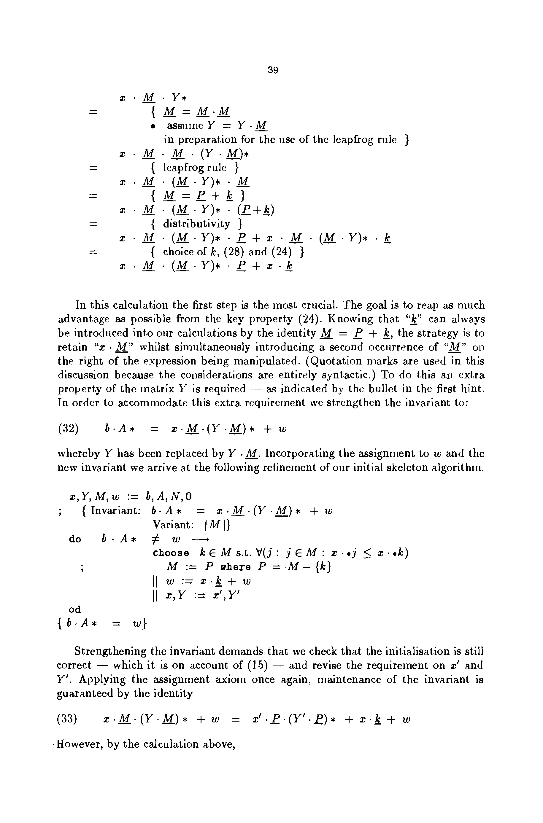
"Mathematics of Program Construction" - читать интересную книгу автора (Richard S. Bird, C.Carroll Morgan, James C.P. Woodcock)