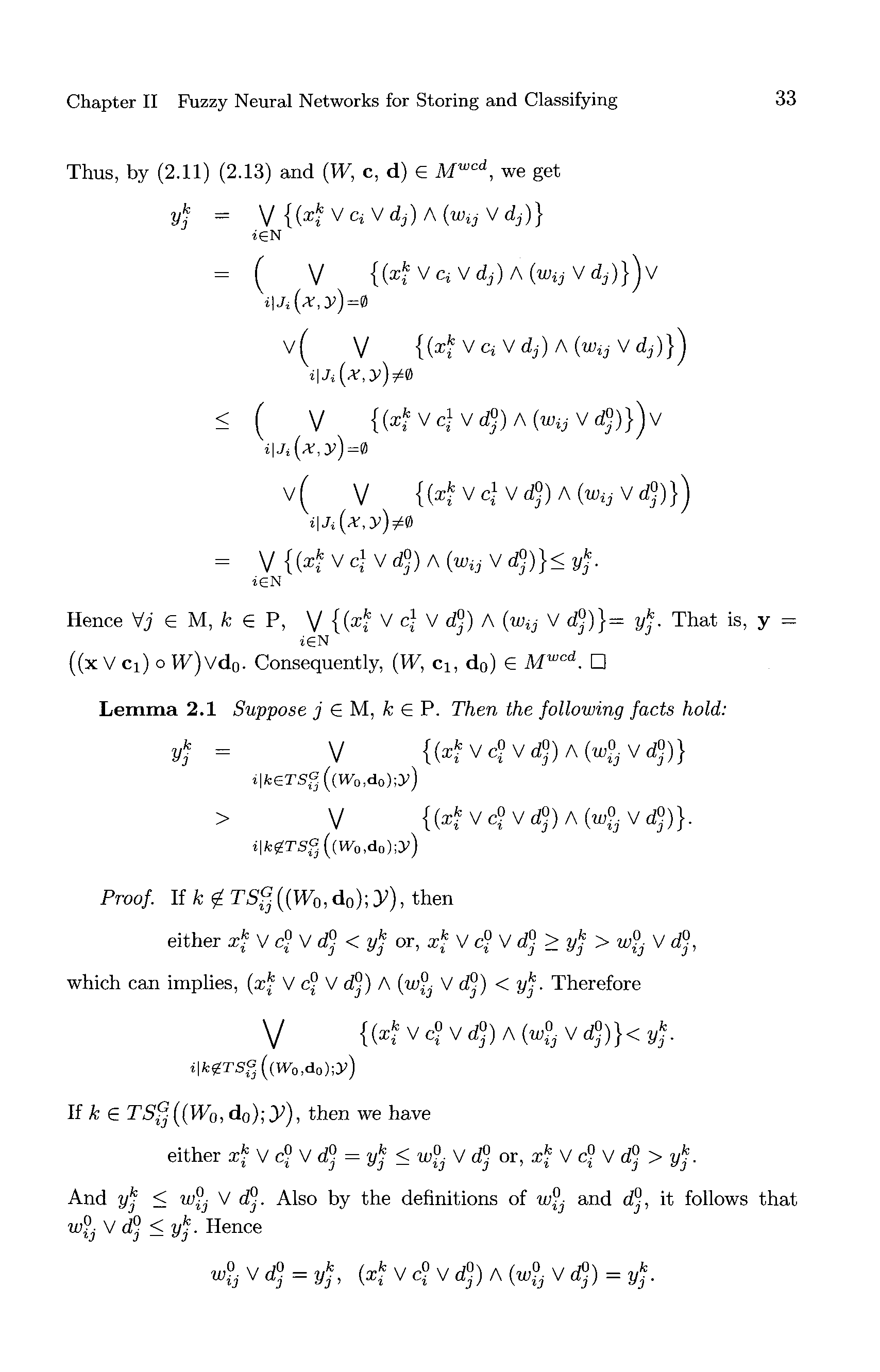
"Fuzzy neural network theory and application" - читать интересную книгу автора (Puyin Liu, Hongxing Li) |
|
© 2026 Библиотека RealLib.org
(support [a t] reallib.org) |