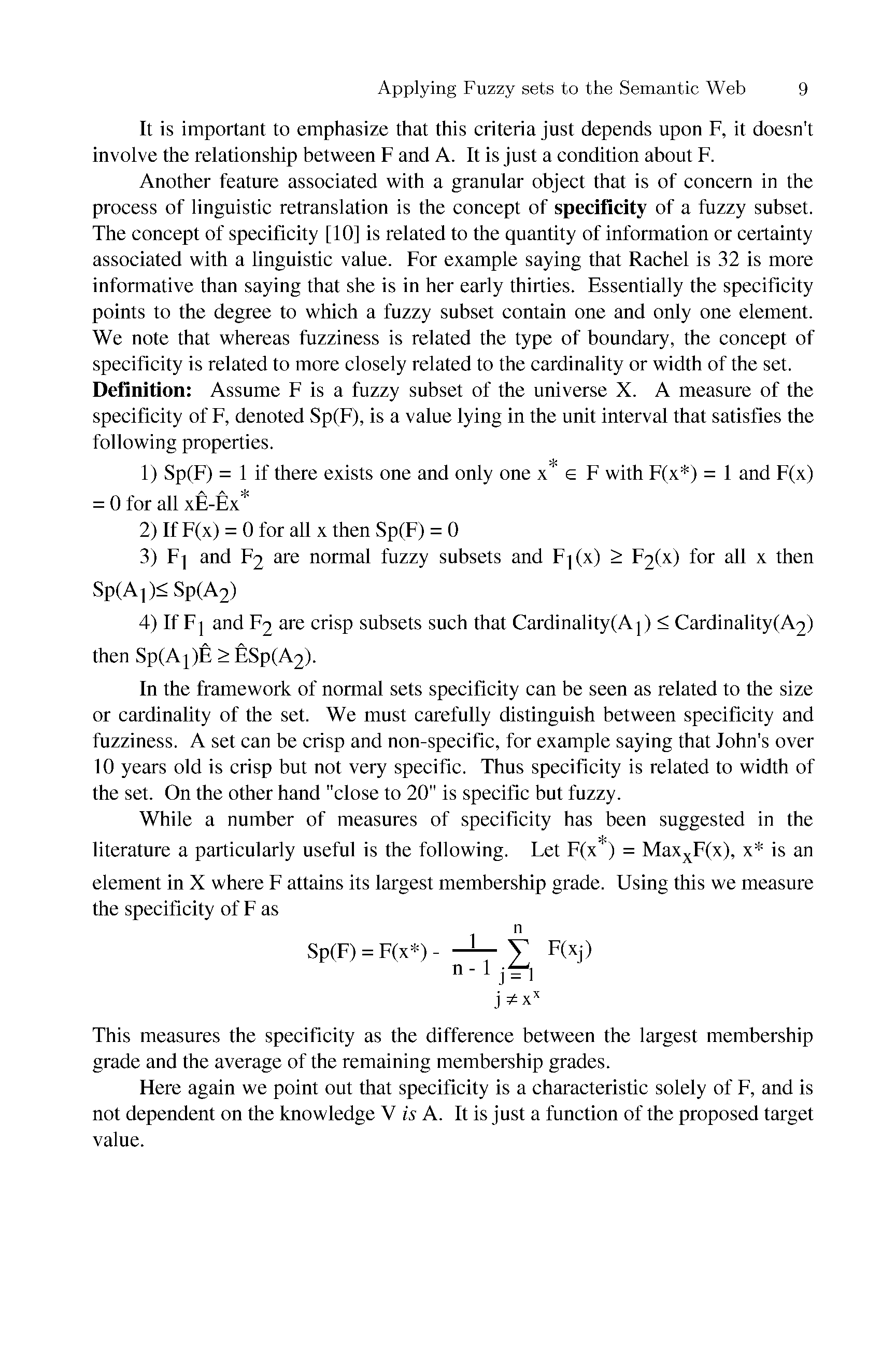
"Applied Soft Computing Technologies: The Challenge of Complexity (Advances in Intelligent and Soft Computing)" - читать интересную книгу автора (Ajith Abraham, Bernard Baets, Mario Köppen, Bertram Nickolay) |
|
© 2025 Библиотека RealLib.org
(support [a t] reallib.org) |