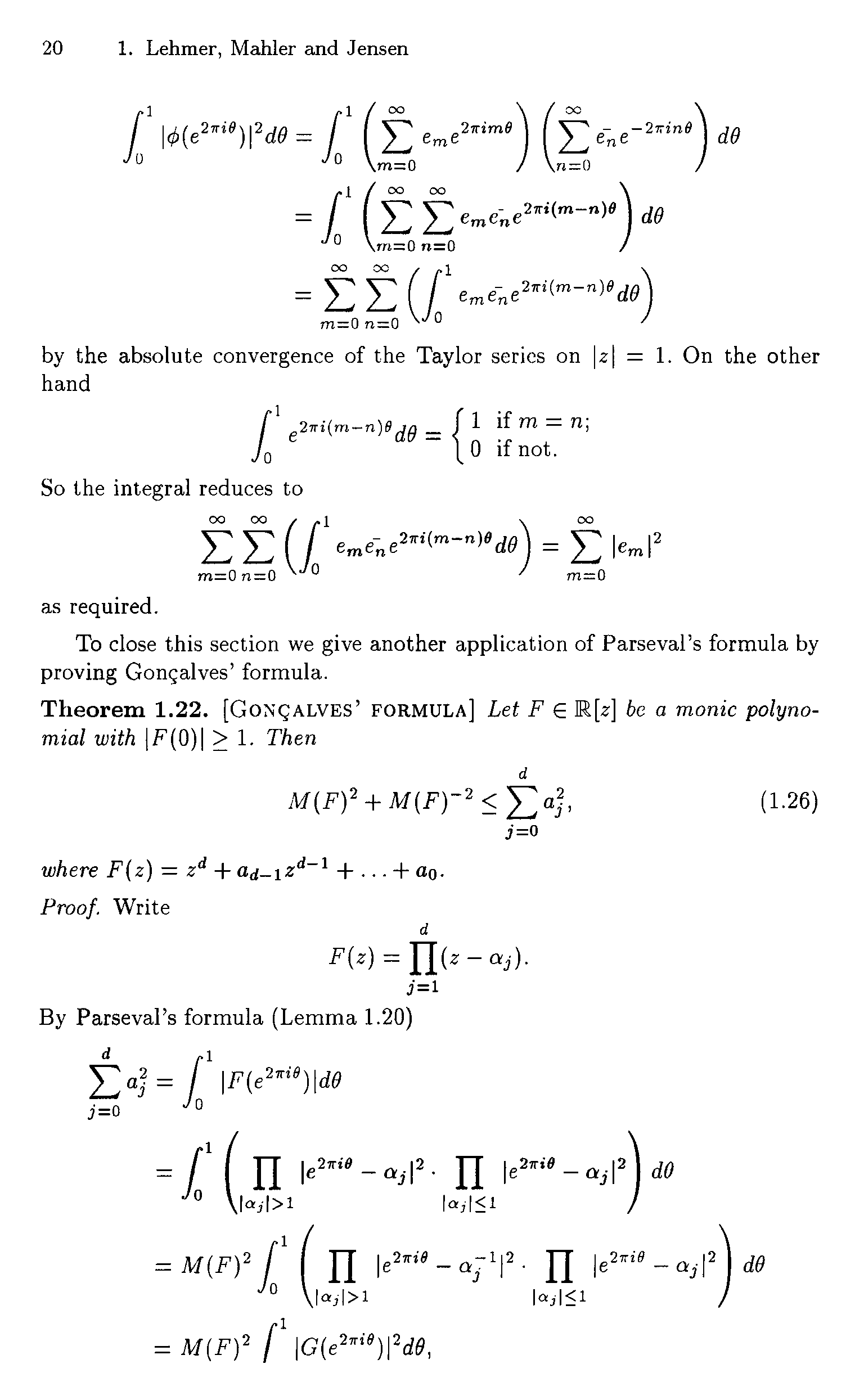
"Heights of Polynomials and Entropy in Algebraic Dynamics" - читать интересную книгу автора (Graham Everest, Thomas Ward) |
|
© 2025 Библиотека RealLib.org
(support [a t] reallib.org) |