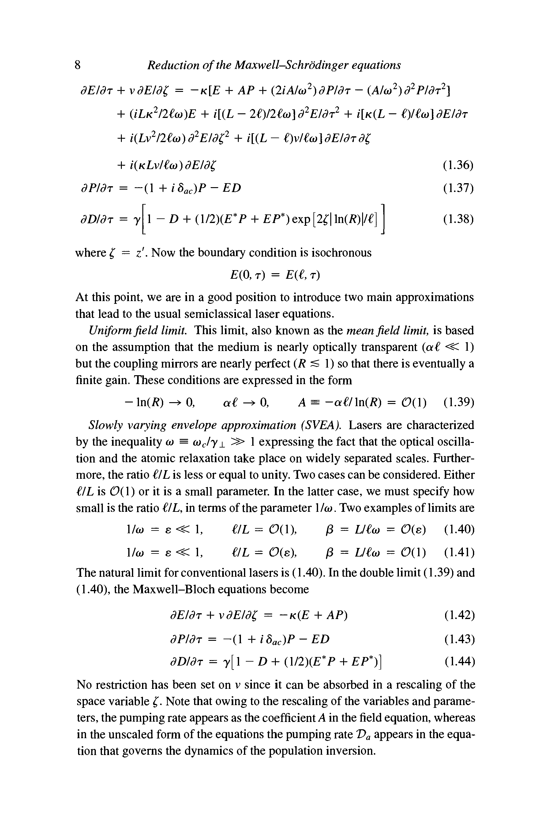
"Theoretical problems in cavity nonlinear optics" - читать интересную книгу автора (Paul Mandel)