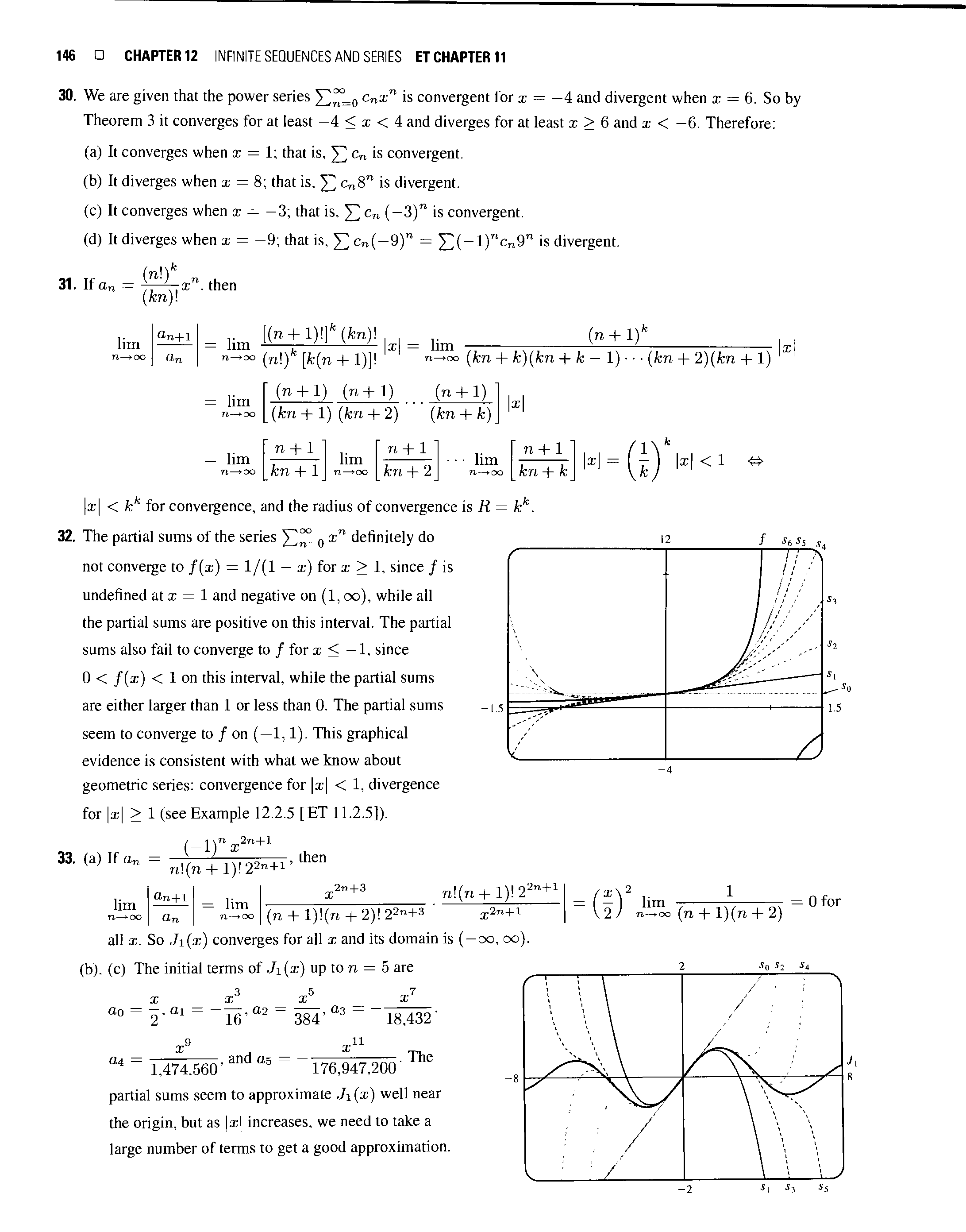
"Infinite Sequences and Series" - читать интересную книгу автора (Konrad Knopp)