"Лекции по схемотехнике" - читать интересную книгу автора

1.2.2 Логические элементы 

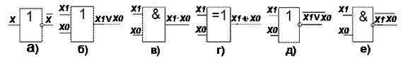
Для реализации логических функций в устройствах цифровой обработки информации используются логические элементы. Условные графические обозначения (УГО) логических элементов, реализующих рассмотренные выше функции, приведены на рисунке 1.

Рисунок 1 – УГО логических элементов: а) Инвертор, б) ИЛИ, в) И, г) Исключающее ИЛИ, д) ИЛИ-НЕ, е) И-НЕ.


Сложные логические функции реализуются на основе простых логических элементов, путём их соответствующего соединения для реализации конкретной аналитической функции. Функциональная схема логического устройства, реализующего сложную функцию, , приведённую в предыдущем параграфе, приведена на рисунке 2.

Рисунок 2 – Пример реализации сложной логической функции


Как видно из рисунка 2, логическое уравнение показывает, из каких ЛЭ и какими соединениями можно создать заданное логическое устройство.

Поскольку логическое уравнение и функциональная схема имеют однозначное соответствие, то целесообразно упростить логическую функцию, используя законы алгебры логики и, следовательно, сократить количество или изменить номенклатуру ЛЭ при её реализации.