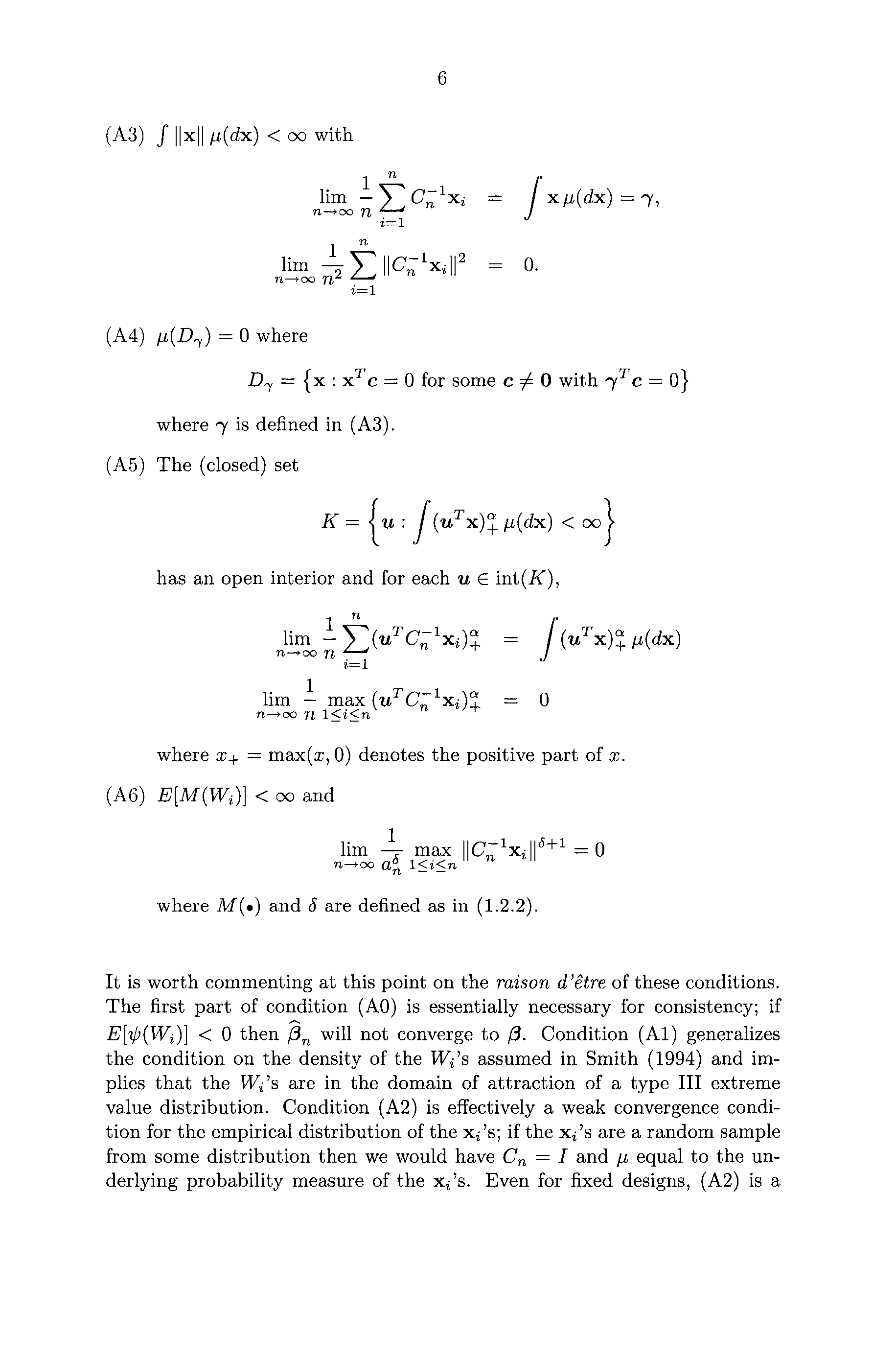
"The Art of Semiparametrics" - читать интересную книгу автора (Sperlich S., Härdle W., Aydinli G.)