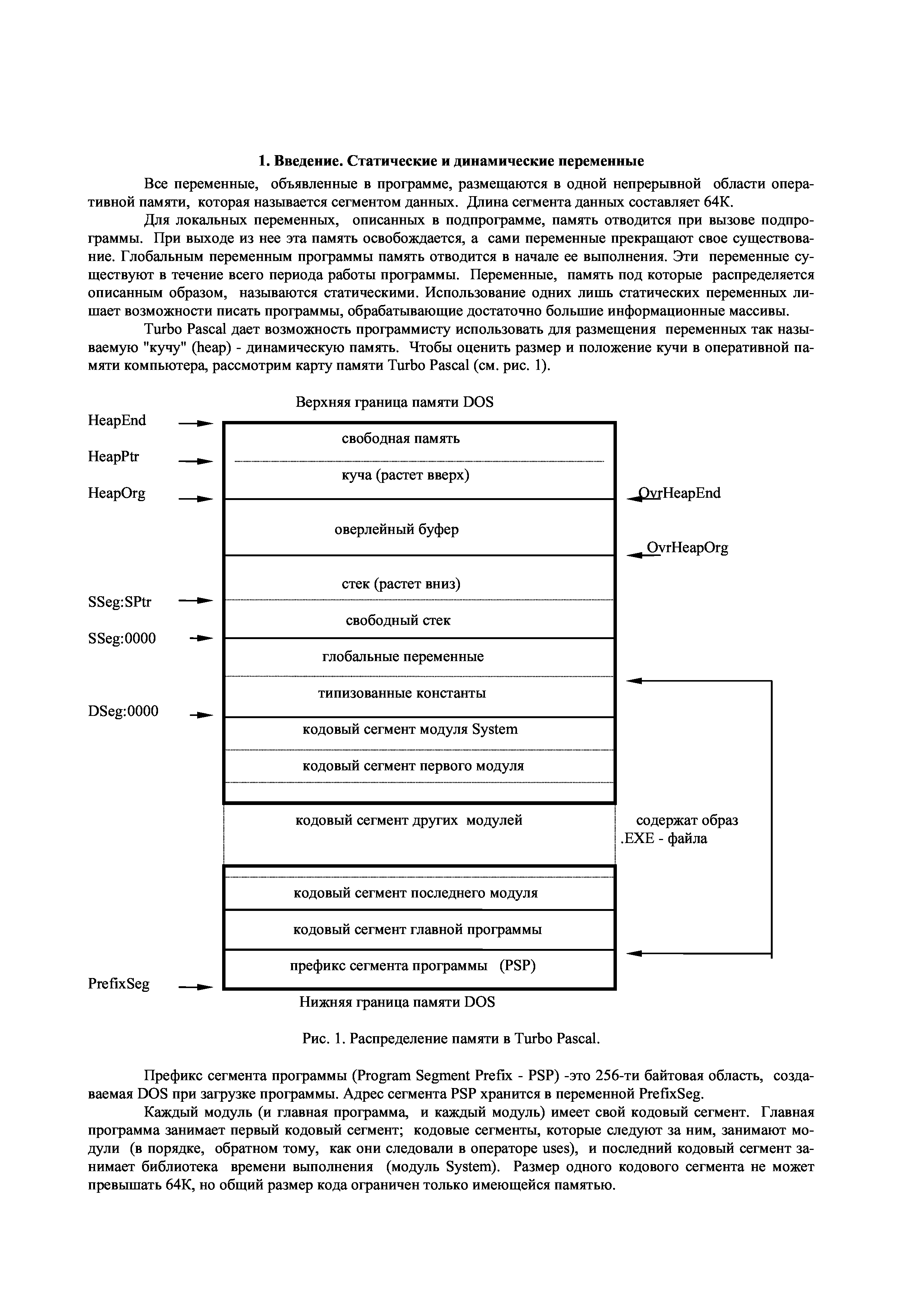
"Работа с динамической памятью и указателями в системе Turbo Pascal: Методические указания" - читать интересную книгу автора (Мирецкий И.Ю., Батхин А.Б.) |
|
© 2025 Библиотека RealLib.org
(support [a t] reallib.org) |