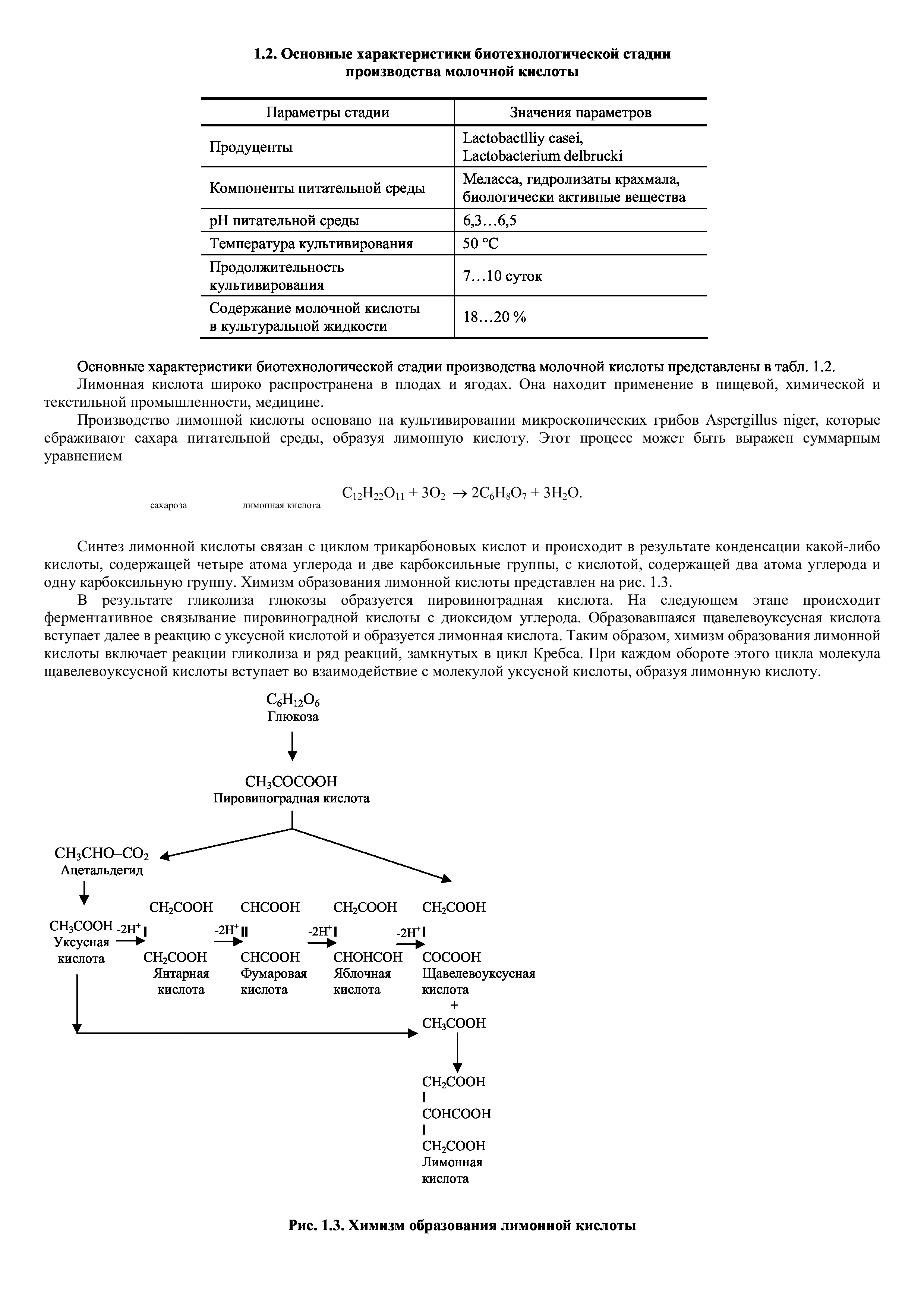
"Биотехнология органических кислот и белковых препаратов: Учебное пособие" - читать интересную книгу автора (Муратова Е.И., Зюзина О.В., Шуняева О.Б.) |
|
© 2025 Библиотека RealLib.org
(support [a t] reallib.org) |