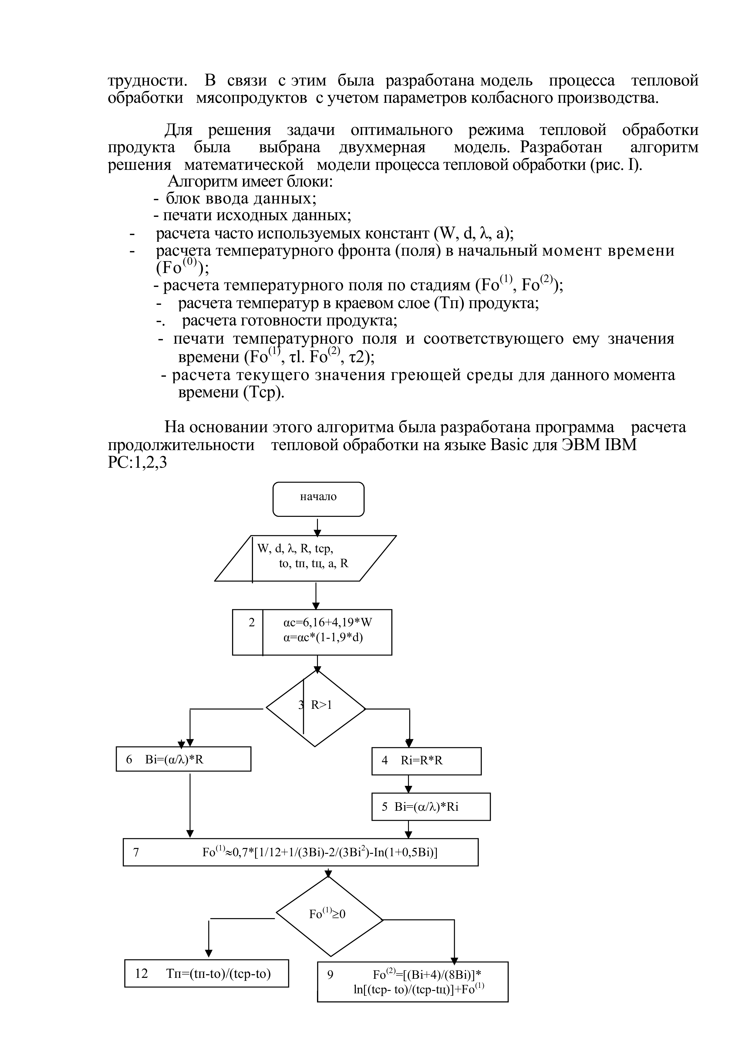
"Моделирование технологических процессов. Методические указания и контрольные задания для студентов специальностей 270900 - ''Технология мяса и мясных продуктов'' и 270800 - ''Технология консервов и пищеконцентратов''" - читать интересную книгу автора (Колесникова Н.В., Брянская И.В.) |
|
© 2025 Библиотека RealLib.org
(support [a t] reallib.org) |