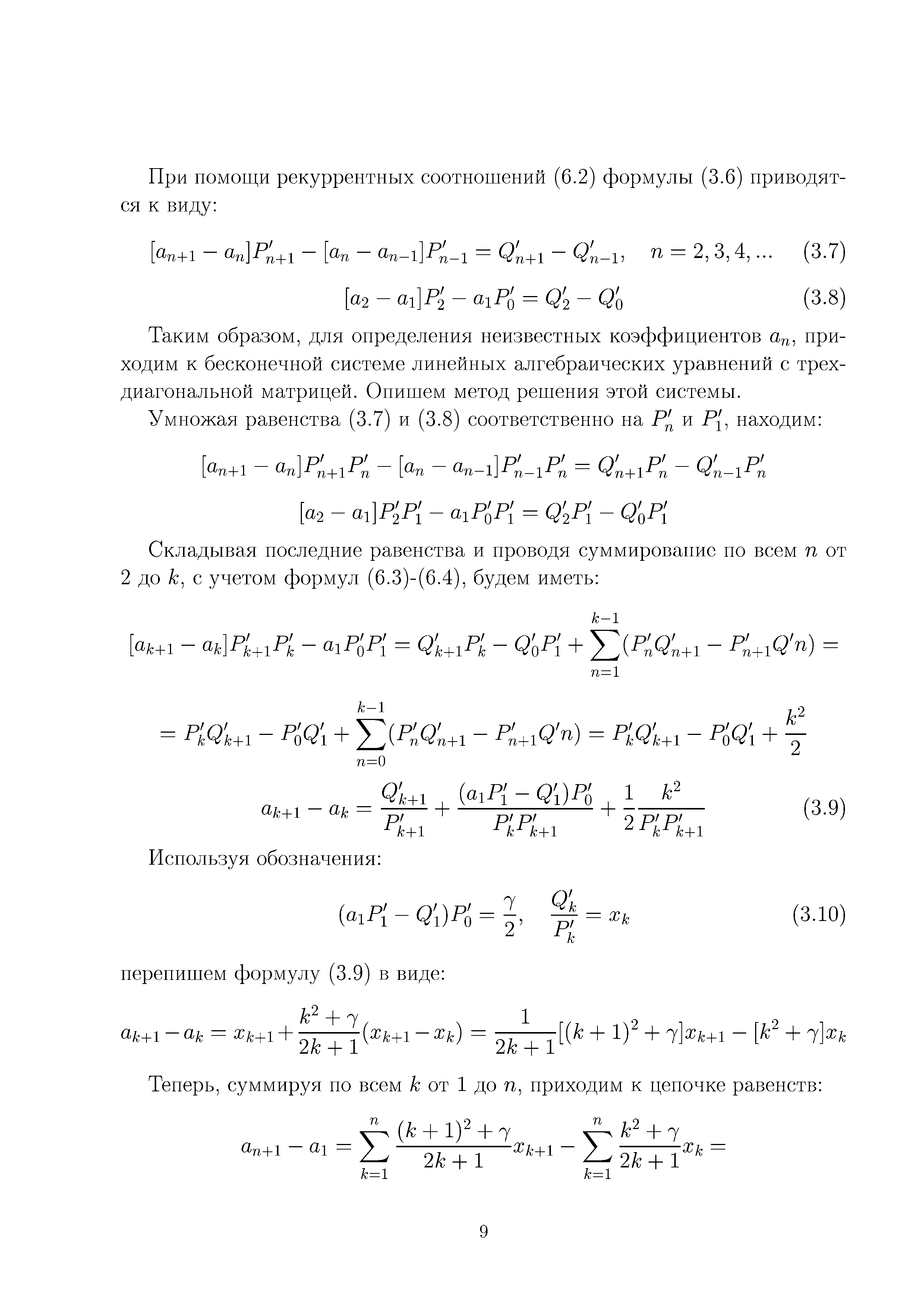
"Смешанные задачи гидродинамического удара. Методические указания для студентов 3 курса механико-математического факультета" - читать интересную книгу автора (Норкин М.В.)