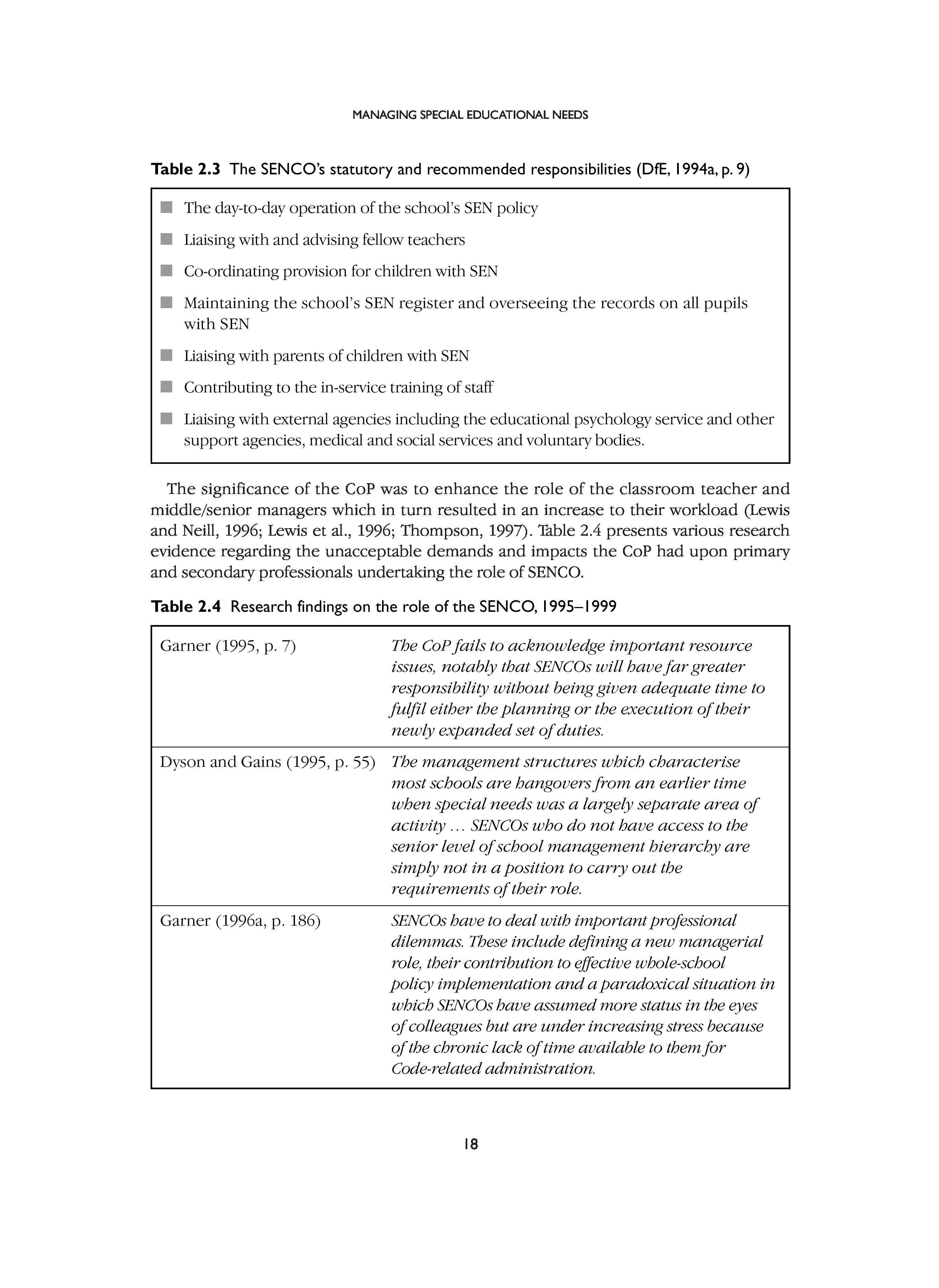
"Managing Special Educational Needs: A Practical Guide for Primary and Secondary Schools" - читать интересную книгу автора (Dr Suanne Gibson, Professor Sonia Blandford)